• 中国科技期刊卓越行动计划项目资助期刊
  • 中国精品科技期刊
  • 首都科技期刊卓越行动计划
  • EI
  • Scopus
  • CAB Abstracts
  • Global Health
  • 北大核心期刊
  • DOAJ
  • EBSCO
  • 中国核心学术期刊RCCSE A+
  • 中国科技核心期刊CSTPCD
  • JST China
  • FSTA
  • 中国农林核心期刊
  • 中国开放获取期刊数据库COAJ
  • CA
  • WJCI
  • 食品科学与工程领域高质量科技期刊分级目录第一方阵T1
中国精品科技期刊2020
王庭雨,沈飞,赵佳伟,等. 负载陈皮提取物的W1/O/W2型乳液的制备及其性能评价J. 食品工业科技,2025,46(9):124−135. doi: 10.13386/j.issn1002-0306.2024050380.
引用本文: 王庭雨,沈飞,赵佳伟,等. 负载陈皮提取物的W1/O/W2型乳液的制备及其性能评价J. 食品工业科技,2025,46(9):124−135. doi: 10.13386/j.issn1002-0306.2024050380.
WANG Tingyu, SHEN Fei, ZHAO Jiawei, et al. Preparation of W1/O/W2 Emulsion Loaded with Chenpi Extract and Its Properties EvaluationJ. Science and Technology of Food Industry, 2025, 46(9): 124−135. (in Chinese with English abstract). doi: 10.13386/j.issn1002-0306.2024050380.
Citation: WANG Tingyu, SHEN Fei, ZHAO Jiawei, et al. Preparation of W1/O/W2 Emulsion Loaded with Chenpi Extract and Its Properties EvaluationJ. Science and Technology of Food Industry, 2025, 46(9): 124−135. (in Chinese with English abstract). doi: 10.13386/j.issn1002-0306.2024050380.

负载陈皮提取物的W1/O/W2型乳液的制备及其性能评价

Preparation of W1/O/W2 Emulsion Loaded with Chenpi Extract and Its Properties Evaluation

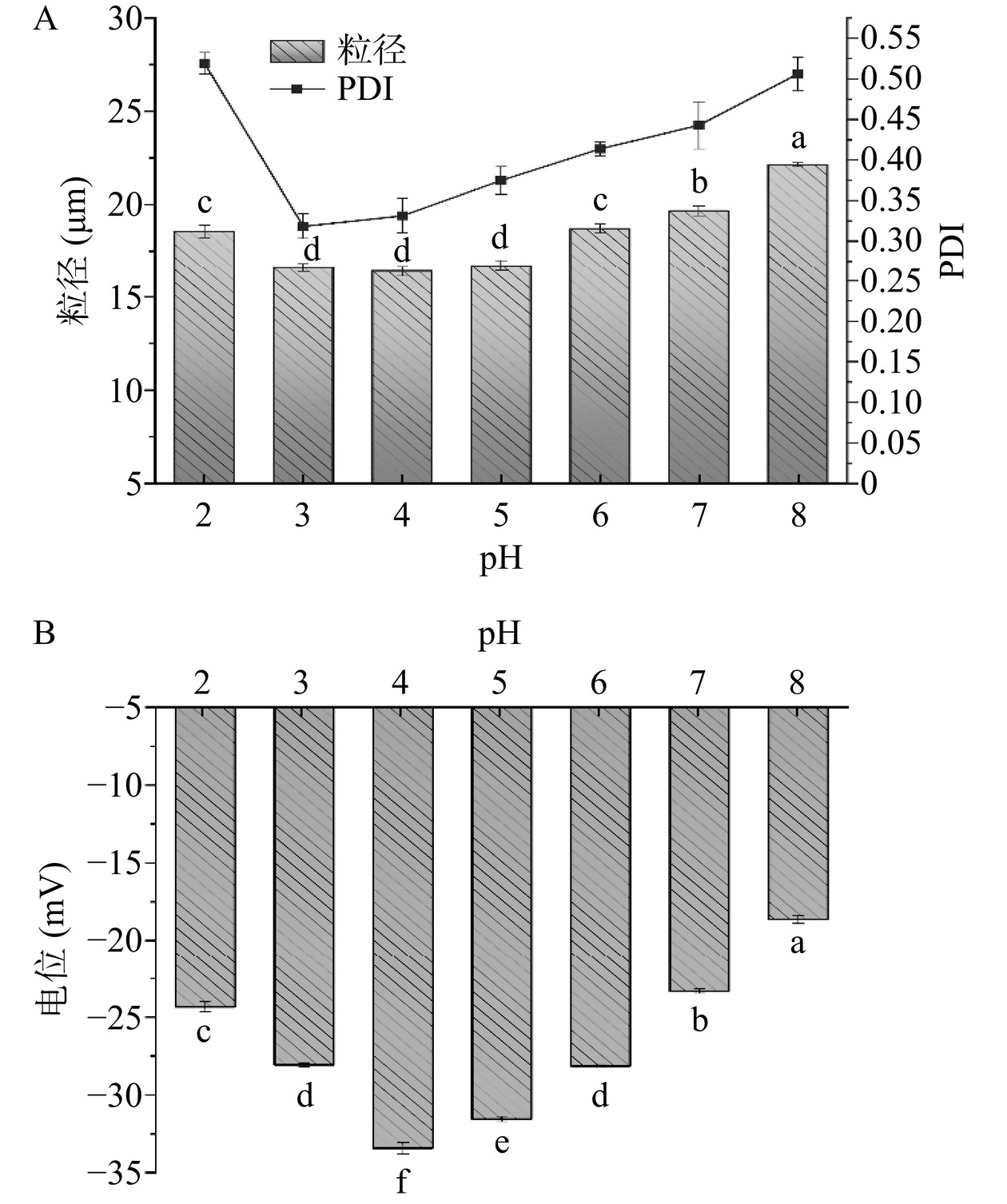
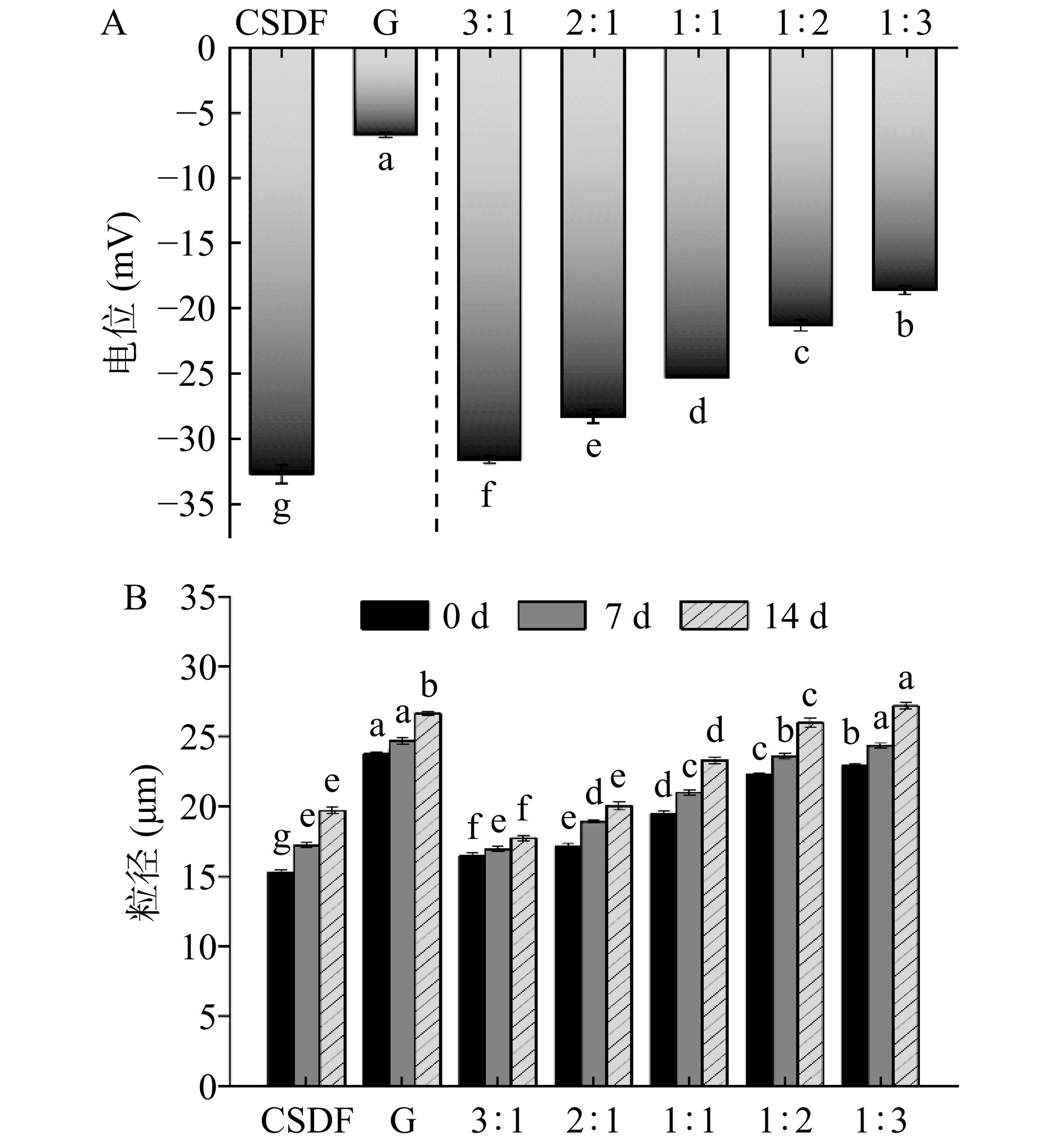
  • 摘要: 为提高陈皮提取物(Chenpi extract,CPE)中的活性成分的封装稳定性及生物可及性,本研究以柑渣可溶性膳食纤维-明胶(Citrus soluble dietary fiber-gelatin,CSDF-G)复合物和聚蓖麻酸甘油酯作为乳化剂制备了负载CPE的W1/O/W2双重乳液,并探究了CSDF-G复合物和W1/O/W2双重乳液最佳制备条件、乳液环境耐受性以及体外消化特性。结果显示CSDF和G通过非共价静电作用相互结合,并且在pH3.5条件下结合效果最佳,形成的复合物乳化能力最强。当CSDF/G比例为3:1(w/w)、CSDF-G复合物总浓度为2%(w/v)、W1/O和W2比例为3:7(v/v)时,制备的W1/O/W2双重乳液分布均匀,粒径最小,粘弹性最强,多酚和黄酮的封装率分别达到96.82%和90.08%。此外,该条件下制备的乳液不仅在pH3.0~5.0和离子强度0~100 mmol/L的环境下保持了较好的稳定性,同时还对高温和紫外光照环境展现出较强的耐受能力。体外模拟消化结果表明,乳液的双重结构在胃肠道消化过程中被缓慢破坏。经肠道消化后,乳液负载的CPE的多酚生物可及性较游离大豆油负载的CPE提高了33.22%。上述结果表明本研究制备的W1/O/W2双重乳液具有良好的活性成分递送潜力,研究结果为新型陈皮相关功能产品的开发提供了参考。

     

    Abstract: To improve the encapsulation stability and bioaccessibility of active components in Chenpi extract (CPE), the citrus soluble dietary fiber-gelatin (CSDF-G) and polyglycerol polyricinoleate were used as emulsifiers to form a W1/O/W2 double emulsion loaded with CPE. The study also investigated the optimal parameters for producing the CSDF-G complex and the W1/O/W2 double emulsion, as well as their environmental stability and in vitro digestive properties. Results revealed that CSDF and gelatin interacted via non-covalent electrostatic forces, with the strongest combination effect at pH3.5, as the emulsification capability of complex was strongest. When the CSDF/G ratio was 3:1 (w/w), the total concentration of CSDF-G complex was 2% (w/v), and the W1/O and W2 ratios were 3:7 (v/v), the prepared W1/O/W2 double emulsion had a uniform distribution, the smallest particle size, the strongest viscoelasticity, and the encapsulation rates to polyphenol and flavonoid reached 96.82% and 90.08%, respectively. Furthermore, the emulsion W1/O/W2 generated with these parameters remained stable in pH3.0~5.0 settings with ionic strength 0~100 mmol/L and showed strong resistance to high temperatures and UV light. The dual structure of emulsions was gradually dissolved during gastrointestinal digestion, as shown by in vitro digestion. After intestinal digestion, the bioaccessibility of polyphenols in W1/O/W2 emulsion-loaded CPE was increased by 33.22% compared with that in free soybean oil-loaded CPE. In conclusion, the W1/O/W2 double emulsion prepared in this study has good potential for active ingredient delivery, and the results will provide a reference for the development of new functional Chenpi-related products.

     

/

返回文章
返回