• 中国科技期刊卓越行动计划项目资助期刊
  • 中国精品科技期刊
  • 首都科技期刊卓越行动计划
  • EI
  • Scopus
  • CAB Abstracts
  • Global Health
  • 北大核心期刊
  • DOAJ
  • EBSCO
  • 中国核心学术期刊RCCSE A+
  • 中国科技核心期刊CSTPCD
  • JST China
  • FSTA
  • 中国农林核心期刊
  • 中国开放获取期刊数据库COAJ
  • CA
  • WJCI
  • 食品科学与工程领域高质量科技期刊分级目录第一方阵T1
中国精品科技期刊2020
赵人杰,赵瑞璇,刘倩楠,等. 马铃薯块茎理化特性、蒸制品质与阻抗特性的相关性分析J. 食品工业科技,2025,46(8):122−130. doi: 10.13386/j.issn1002-0306.2024050411.
引用本文: 赵人杰,赵瑞璇,刘倩楠,等. 马铃薯块茎理化特性、蒸制品质与阻抗特性的相关性分析J. 食品工业科技,2025,46(8):122−130. doi: 10.13386/j.issn1002-0306.2024050411.
ZHAO Renjie, ZHAO Ruixuan, LIU Qiannan, et al. Correlation Analysis of the Physicochemical Properties, Steaming Quality and Impedance Characteristics of Potato TubersJ. Science and Technology of Food Industry, 2025, 46(8): 122−130. (in Chinese with English abstract). doi: 10.13386/j.issn1002-0306.2024050411.
Citation: ZHAO Renjie, ZHAO Ruixuan, LIU Qiannan, et al. Correlation Analysis of the Physicochemical Properties, Steaming Quality and Impedance Characteristics of Potato TubersJ. Science and Technology of Food Industry, 2025, 46(8): 122−130. (in Chinese with English abstract). doi: 10.13386/j.issn1002-0306.2024050411.

马铃薯块茎理化特性、蒸制品质与阻抗特性的相关性分析

Correlation Analysis of the Physicochemical Properties, Steaming Quality and Impedance Characteristics of Potato Tubers

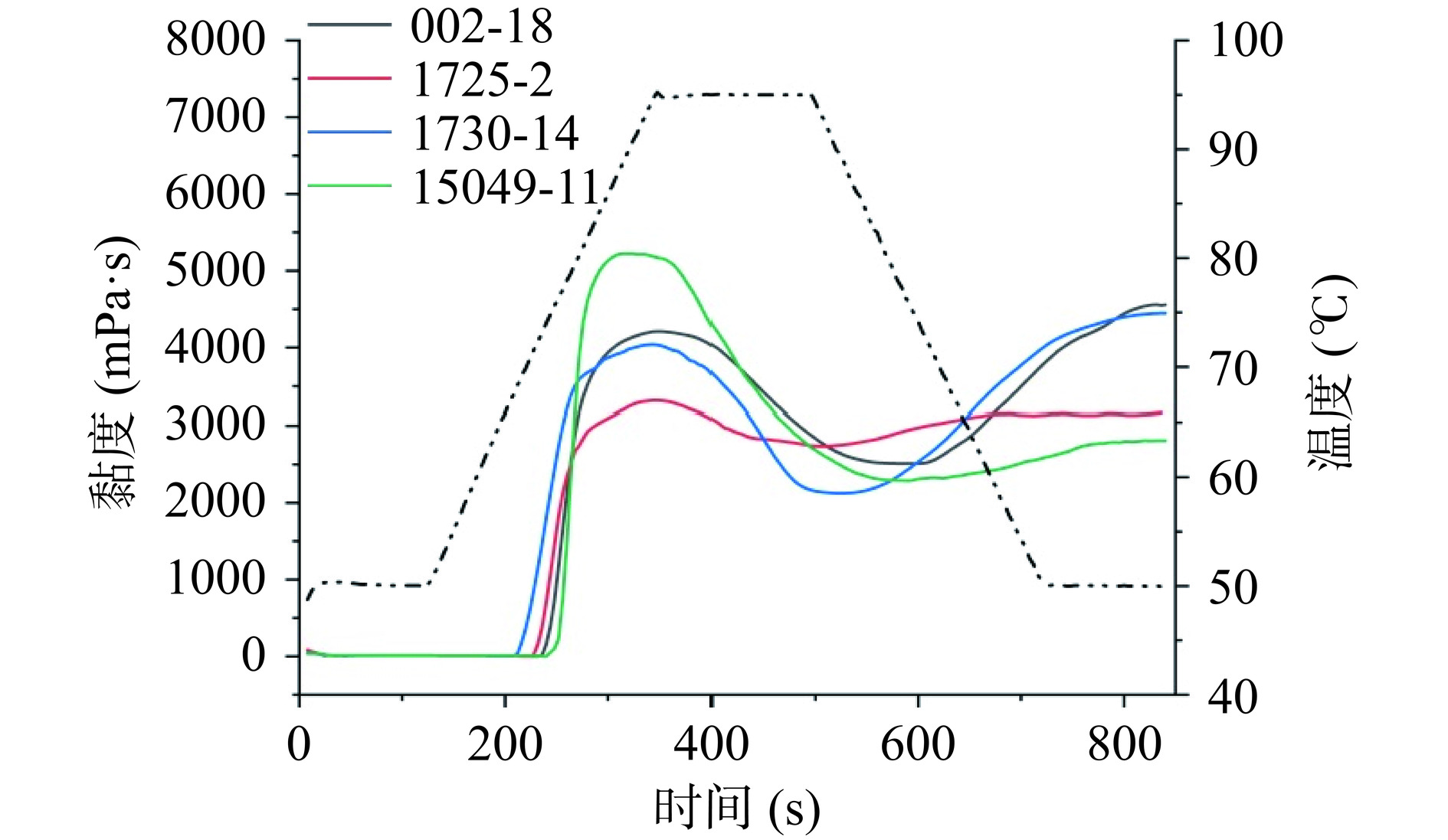
  • 摘要: 通过对不同品种马铃薯块茎理化特性、蒸制品质与阻抗特性进行检测及相关性分析,为研发基于电化学阻抗谱(electrical impedance spectroscopy,EIS)法评价马铃薯蒸制品质的快检技术提供理论依据。结果表明不同品种马铃薯的干物质、淀粉、直链淀粉和膳食纤维含量均存在显著差异(P<0.05)。其中,15049-11的干物质、淀粉和直链淀粉含量最高,分别为23.11%、80.46%和32.85%。蒸制马铃薯的质构品质指标(碎裂性、硬度、粘附性和胶着性)分别与其基本成分(干物质、淀粉、直链淀粉、可溶性膳食纤维、不可溶性膳食纤维和总膳食纤维)含量以及马铃薯淀粉的糊化温度、回生值、粒径、膨润力和溶解度呈显著正相关(P<0.05)。002-18和15049-11鲜薯细胞排列较为规则有序,蒸制后保留了较为完整的细胞壁轮廓,且细胞内充满糊化的淀粉基质,导致其具有较高的碎裂性和硬度。EIS检测显示蒸制马铃薯的质构特性与其低频区域(10~100 Hz)的阻抗值呈显著正相关(P<0.05)。因此,电化学阻抗谱法有望成为一种快速表征蒸制马铃薯质构品质的有效技术。

     

    Abstract: The physicochemical properties, steaming quality, and impedance characteristics of different potato tuber varieties were tested and analyzed for correlations. The test aimed to provide a theoretical basis for developing a rapid detection technology to evaluate the cooking quality of potatoes based on electrical impedance spectroscopy (EIS). The results showed significant differences (P<0.05) in dry matter, starch, amylose, and dietary fiber content among the different potato varieties. Among them, variety 15049-11 had the highest dry matter, starch, and amylose content, with values of 23.11%, 80.46%, and 32.85%, respectively. The textural quality indicators of steamed potatoes (fracturability, hardness, adhesiveness, and gumminess) were significantly positively correlated (P<0.05) with their basic components (dry matter, starch, amylose, soluble dietary fiber, insoluble dietary fiber, and total dietary fiber) as well as with the gelatinization temperature, retrogradation value, particle size, swelling power, and solubility of potato starch. Fresh potatoes of varieties 002-18 and 15049-11 exhibited a more ordered and regular cell arrangement. After steaming, they retained relatively intact cell wall contours, and the cells were filled with a gelatinized starch matrix, resulting in higher brittleness and hardness. EIS testing showed that the textural characteristics of the steamed potatoes were significantly and positively correlated (P<0.05) with their impedance values in the low-frequency range (10~100 Hz). Therefore, EIS is expected to be an effective technology for the rapid characterization of the textural quality of steamed potatoes.

     

/

返回文章
返回