• 中国科技期刊卓越行动计划项目资助期刊
  • 中国精品科技期刊
  • 首都科技期刊卓越行动计划
  • EI
  • Scopus
  • CAB Abstracts
  • Global Health
  • 北大核心期刊
  • DOAJ
  • EBSCO
  • 中国核心学术期刊RCCSE A+
  • 中国科技核心期刊CSTPCD
  • JST China
  • FSTA
  • 中国农林核心期刊
  • 中国开放获取期刊数据库COAJ
  • CA
  • WJCI
  • 食品科学与工程领域高质量科技期刊分级目录第一方阵T1
中国精品科技期刊2020
田红,庞立,杨文韬,等. 分散泛菌DJL-B醇脱氢酶的重组表达与固定化研究J. 食品工业科技,2025,46(9):176−184. doi: 10.13386/j.issn1002-0306.2024060040.
引用本文: 田红,庞立,杨文韬,等. 分散泛菌DJL-B醇脱氢酶的重组表达与固定化研究J. 食品工业科技,2025,46(9):176−184. doi: 10.13386/j.issn1002-0306.2024060040.
TIAN Hong, PANG Li, YANG Wentao, et al. Recombinant Expression and Immobilization of Pantoea dispersa DJL-B Alcohol DehydrogenaseJ. Science and Technology of Food Industry, 2025, 46(9): 176−184. (in Chinese with English abstract). doi: 10.13386/j.issn1002-0306.2024060040.
Citation: TIAN Hong, PANG Li, YANG Wentao, et al. Recombinant Expression and Immobilization of Pantoea dispersa DJL-B Alcohol DehydrogenaseJ. Science and Technology of Food Industry, 2025, 46(9): 176−184. (in Chinese with English abstract). doi: 10.13386/j.issn1002-0306.2024060040.

分散泛菌DJL-B醇脱氢酶的重组表达与固定化研究

Recombinant Expression and Immobilization of Pantoea dispersa DJL-B Alcohol Dehydrogenase

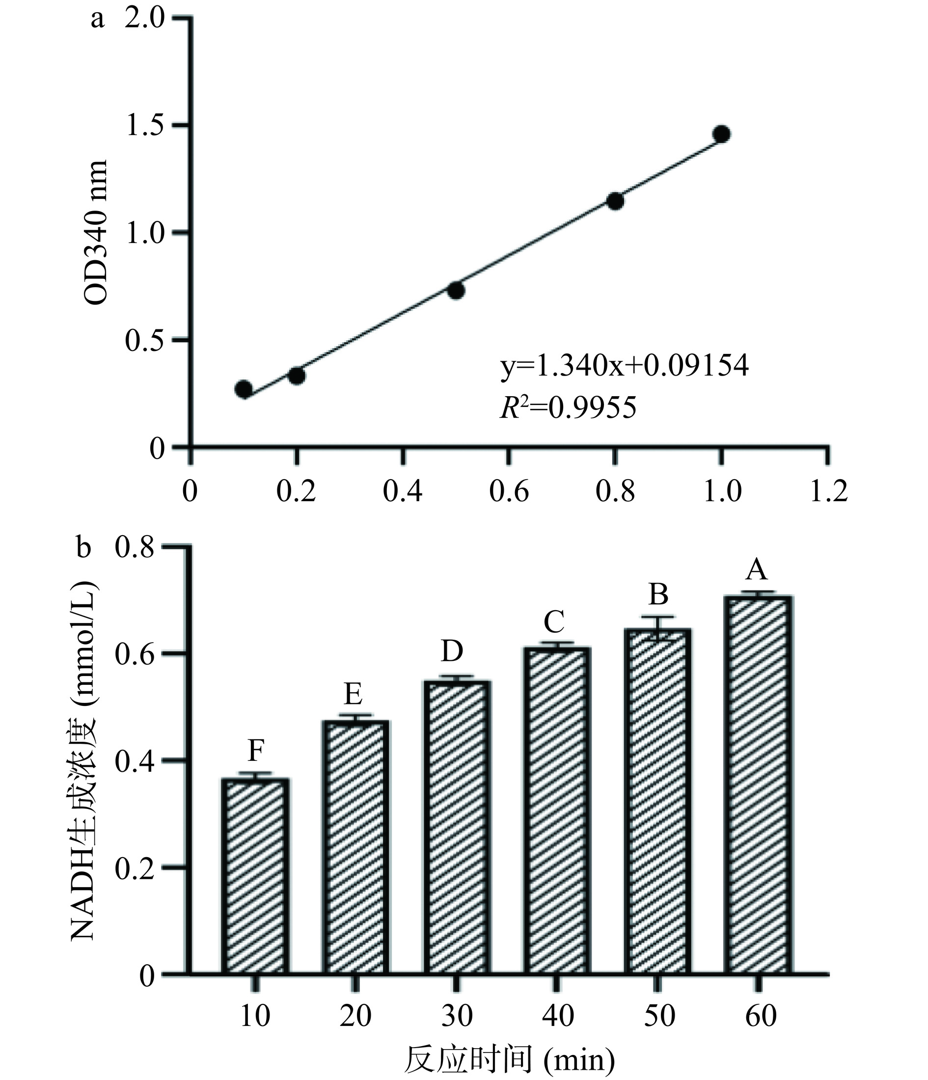
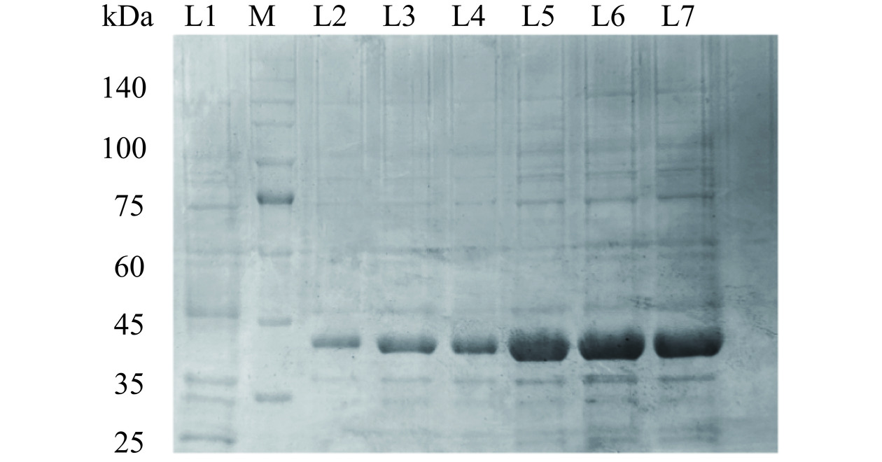
  • 摘要: 为了提高重组醇脱氢酶在大肠杆菌BL21(DE3)中的表达水平,本研究通过单因素实验探讨了诱导温度、诱导时间以及IPTG浓度对酶表达量的影响。并在此基础上,进一步通过海藻酸钠包埋法研究了重组醇脱氢酶的固定化,以提升其对香叶醇转化的应用价值。结果表明,重组醇脱氢酶在大肠杆菌BL21(DE3)中的最适表达条件为:诱导温度28 ℃,诱导时间20 h,IPTG浓度0.1 mmol/L。固定化的条件为:固定化温度20 ℃、海藻酸钠浓度3.5%、加酶量500 μL。同时固定化酶表现出良好的机械稳定性,经重复使用5次后,相对酶活性仍保持在60%左右,显示出较好的重复使用性。研究结果为工业上利用固定化酶催化法制备香叶醛提供了重要的理论参考,具有良好的应用前景。

     

    Abstract: To enhance the expression level of recombinant alcohol dehydrogenase in E. coli BL21 (DE3), this study investigated the effects of induction temperature, induction time, and IPTG concentration on enzyme expression through one-way experiments. Additionally, the immobilization of recombinant alcohol dehydrogenase using sodium alginate embedding was examined to improve its application in geraniol conversion. The results indicated that the optimal expression conditions for recombinant alcohol dehydrogenase in E. coli BL21 (DE3) were an induction temperature of 28 ℃, an induction time of 20 hours, and an IPTG concentration of 0.1 mmol/L. Furthermore, the conditions for immobilization were: immobilization temperature of 20 ℃, sodium alginate concentration of 3.5%, and enzyme addition of 500 μL. Meanwhile, the immobilized enzyme showed good mechanical stability, and the relative enzyme activity was still maintained at about 60% after 5 times of reuse, demonstrating good reusability. The results of the study provide an important theoretical reference for the industrial preparation of geranial using immobilized enzyme catalysis, which has good application prospects.

     

/

返回文章
返回