• 中国科技期刊卓越行动计划项目资助期刊
  • 中国精品科技期刊
  • 首都科技期刊卓越行动计划
  • EI
  • Scopus
  • CAB Abstracts
  • Global Health
  • 北大核心期刊
  • DOAJ
  • EBSCO
  • 中国核心学术期刊RCCSE A+
  • 中国科技核心期刊CSTPCD
  • JST China
  • FSTA
  • 中国农林核心期刊
  • 中国开放获取期刊数据库COAJ
  • CA
  • WJCI
  • 食品科学与工程领域高质量科技期刊分级目录第一方阵T1
中国精品科技期刊2020
郝宇,李会佳,王鹏宇,等. 抗氧化剂对间歇油炸不同食材菜籽油3-氯丙醇酯、缩水甘油酯含量及理化性质的影响J. 食品工业科技,2025,46(10):271−280. doi: 10.13386/j.issn1002-0306.2024060159.
引用本文: 郝宇,李会佳,王鹏宇,等. 抗氧化剂对间歇油炸不同食材菜籽油3-氯丙醇酯、缩水甘油酯含量及理化性质的影响J. 食品工业科技,2025,46(10):271−280. doi: 10.13386/j.issn1002-0306.2024060159.
HAO Yu, LI Huijia, WANG Pengyu, et al. Effect of Antioxidants on 3-Chloropropanol Esters, Glycidyl Esters and Physicochemical Properties in Rapeseed Oil with Different Ingredients during Intermittent FryingJ. Science and Technology of Food Industry, 2025, 46(10): 271−280. (in Chinese with English abstract). doi: 10.13386/j.issn1002-0306.2024060159.
Citation: HAO Yu, LI Huijia, WANG Pengyu, et al. Effect of Antioxidants on 3-Chloropropanol Esters, Glycidyl Esters and Physicochemical Properties in Rapeseed Oil with Different Ingredients during Intermittent FryingJ. Science and Technology of Food Industry, 2025, 46(10): 271−280. (in Chinese with English abstract). doi: 10.13386/j.issn1002-0306.2024060159.

抗氧化剂对间歇油炸不同食材菜籽油3-氯丙醇酯、缩水甘油酯含量及理化性质的影响

Effect of Antioxidants on 3-Chloropropanol Esters, Glycidyl Esters and Physicochemical Properties in Rapeseed Oil with Different Ingredients during Intermittent Frying

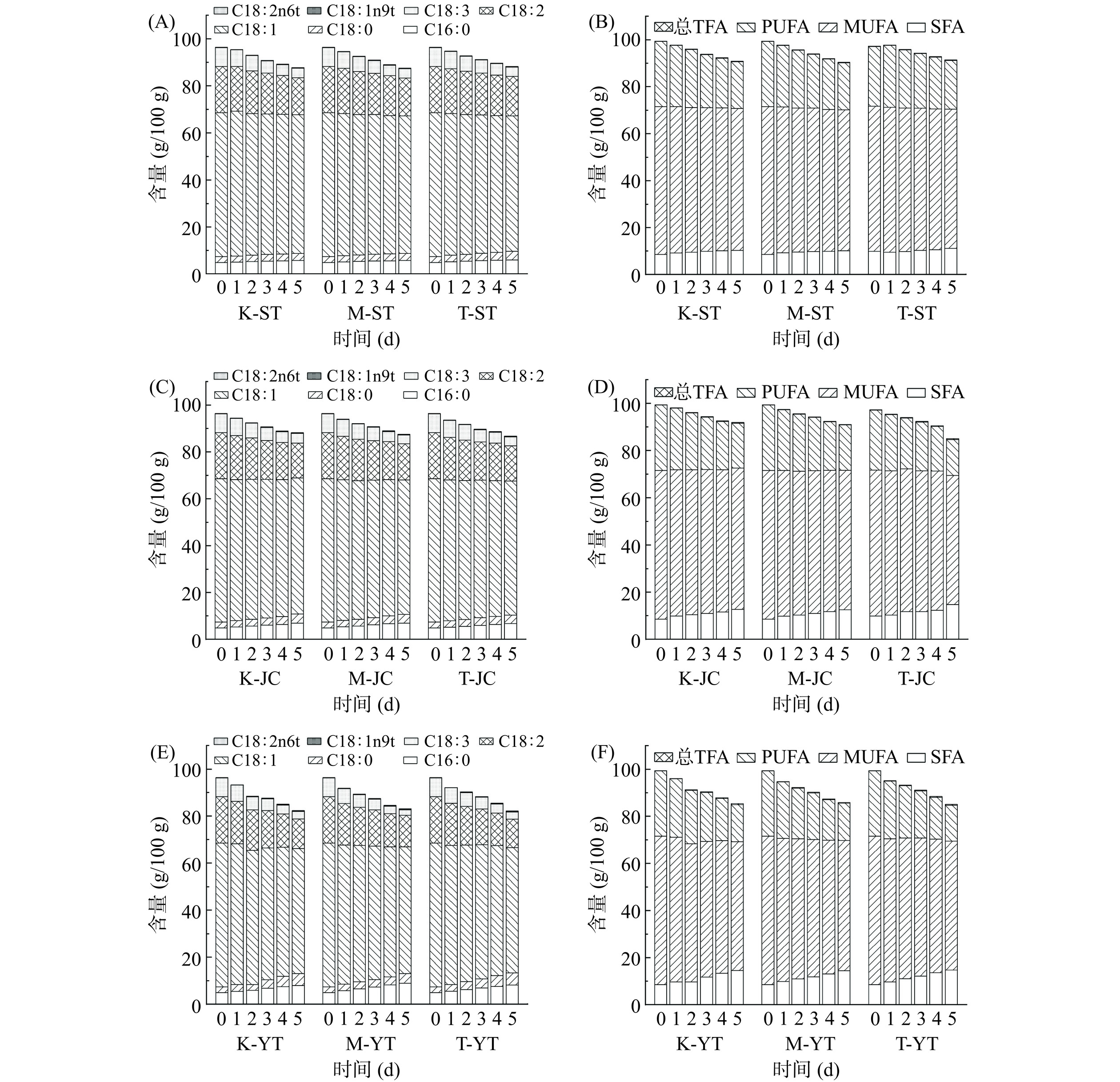
  • 摘要: 以菜籽油为原料,采用间歇加热方式对鸡翅、薯条、油条进行油炸,添加人工抗氧化剂(特丁基对苯二酚)和天然抗氧化剂(迷迭香提取物),探究抗氧化剂对不同油炸时间和油炸食材的菜籽油中3-氯丙醇酯、缩水甘油酯及理化性质的影响,分析各指标间相关性,旨在揭示抗氧化剂对间歇油炸不同食材菜籽油中3-氯丙醇酯、缩水甘油酯及理化性质的影响规律,考察其抗氧化能力。结果表明,间歇油炸5 d后,薯条、鸡翅、油条煎炸油中各成分含量均有不同,且3-氯丙醇酯与缩水甘油酯呈极显著(P<0.01)正相关,3种食材煎炸油品质均下降。0.7 mg/kg的迷迭香提取物添加对薯条煎炸油中3-氯丙醇酯抑制率最高为8.30%,对鸡翅煎炸油缩水甘油酯抑制率最高为6.77%,对3种煎炸油中饱和脂肪酸、反式脂肪酸的上升,多不饱和脂肪酸的降解具有一定抑制作用;添加0.2 mg/kg的特丁基对苯二酚对薯条煎炸油中缩水甘油酯抑制率为4.45%。此外,抗氧化剂能不同程度的抑制酸价、碘值、过氧化值等指标。在本文的研究条件下,迷迭香提取物保护菜籽油品质的能力优于特丁基对苯二酚。同时,菜籽油高温油炸食材过程中产生的风险因子值得重视。

     

    Abstract: Using rapeseed oil as the frying medium, this study conducted the intermittent frying of chicken wings, french fries, and youtiao (fried dough sticks) by adding synthetic antioxidant tert-butylhydroquinone (TBHQ) and natural antioxidant rosemary extract. The research investigated how these antioxidants influence 3-chloropropanol esters (3-MCPDE), glycidyl esters (GEs), and physicochemical properties in rapeseed oil under different frying durations and food matrices, while analyzing inter-indicator correlations. The objectives were to reveal the regulatory patterns of antioxidants on 3-MCPDE, GEs, and oil quality during intermittent frying of different foods, and to evaluate their antioxidant capacities. Results showed that after 5 d of intermittent frying, all three fried foods exhibited distinct compositional changes in their respective oils, with a highly significant positive correlation (P<0.01) between 3-MCPDE and GEs levels. Oil quality parameters consistently deteriorated across all food types. The addition of 0.7 mg/kg rosemary extract demonstrated maximum inhibition rates of 8.30% on 3-MCPDE in french fries oil and 6.77% on GEs in chicken wing oil, while moderately suppressing the increase of saturated fatty acids (SFA) and trans-fatty acids (TFA), as well as the degradation of polyunsaturated fatty acids (PUFA) in all three oils. TBHQ at 0.2 mg/kg showed a 4.45% inhibition rate on GEs formation in french fries oil. Both antioxidants effectively inhibited deterioration of acid value, iodine value, and peroxide value to varying degrees. Under the experimental conditions, rosemary extract exhibited superior capability in preserving rapeseed oil quality compared to TBHQ. The study emphasizes that risk factors generated during high-temperature frying of foods in rapeseed oil warrant significant attention.

     

/

返回文章
返回