• 中国科技期刊卓越行动计划项目资助期刊
  • 中国精品科技期刊
  • 首都科技期刊卓越行动计划
  • EI
  • Scopus
  • CAB Abstracts
  • Global Health
  • 北大核心期刊
  • DOAJ
  • EBSCO
  • 中国核心学术期刊RCCSE A+
  • 中国科技核心期刊CSTPCD
  • JST China
  • FSTA
  • 中国农林核心期刊
  • 中国开放获取期刊数据库COAJ
  • CA
  • WJCI
  • 食品科学与工程领域高质量科技期刊分级目录第一方阵T1
中国精品科技期刊2020
何颖,迟玉杰,迟媛. 复配蛋液对小麦面团流变学特性和面包品质的影响J. 食品工业科技,2025,46(10):93−101. doi: 10.13386/j.issn1002-0306.2024060180.
引用本文: 何颖,迟玉杰,迟媛. 复配蛋液对小麦面团流变学特性和面包品质的影响J. 食品工业科技,2025,46(10):93−101. doi: 10.13386/j.issn1002-0306.2024060180.
HE Ying, CHI Yujie, CHI Yuan. Effect of Reconstituted Liquid Egg on the Rheological Properties of Wheat Dough and Bread QualityJ. Science and Technology of Food Industry, 2025, 46(10): 93−101. (in Chinese with English abstract). doi: 10.13386/j.issn1002-0306.2024060180.
Citation: HE Ying, CHI Yujie, CHI Yuan. Effect of Reconstituted Liquid Egg on the Rheological Properties of Wheat Dough and Bread QualityJ. Science and Technology of Food Industry, 2025, 46(10): 93−101. (in Chinese with English abstract). doi: 10.13386/j.issn1002-0306.2024060180.

复配蛋液对小麦面团流变学特性和面包品质的影响

Effect of Reconstituted Liquid Egg on the Rheological Properties of Wheat Dough and Bread Quality

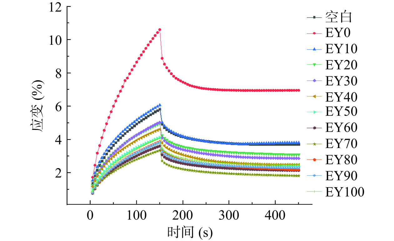
  • 摘要: 为探究复配蛋液对小麦面团加工性能和面包烘焙品质的影响,本研究通过粉质仪、流变仪等技术手段测定了小麦面团的粉质特性、粘弹性、蠕变恢复能力以及发酵性能等流变学性质,同时利用扫描电子显微镜观察了面团的微观结构,并评估了其所制成的面包的比体积、质构特性和内部纹理等品质。结果表明:与未添加蛋液的空白组相比,含有蛋黄的复配蛋液使面团的形成时间和稳定时间延长,发酵体积增大,持气能力提高;面团的黏弹性随蛋液中蛋黄比例的增加呈先上升后下降的趋势,应变值呈先下降后上升的趋势。当蛋液中蛋黄比例为70%时,面团黏弹性最大,抵抗外界形变的能力最强,结构最稳定;此时,面包的比体积最大,为4.82 mL/g,较添加硬脂酰乳酸钠(Sodium stearyl lactate,SSL)的面包提升26.5%;硬度和咀嚼性最低,分别为261.50 g和219.224 g;内聚性最高,为0.848;弹性和回复性也较好,与SSL组面包相比分别增加5.9%和11.6%。然而,蛋黄比例过高的复配蛋液(80%~100%)也会对面团的内部结构产生不利的影响,导致面包蓬松度下降,内部组织变得粗糙。综上,蛋黄比例为70%的复配蛋液对面团加工性能和面包品质的提升效果最好。

     

    Abstract: This study aimed to explore the influence of reconstituted liquid egg on the processing performance of wheat dough and baking quality of bread, a farinograph and a rheometer were used to investigate the farinograph characteristics, viscoelasticity, creep-recovery characteristic and fermentability of wheat dough. The microstructure of the dough was observed by scanning electron microscope, and the specific volume, texture characteristics and crumb structure of bread. The results showed that compared with egg-free dough (blank control), the reconstituted liquid egg containing egg yolk extended the development time and stability time of the dough, increased the fermentation volume, and improved the air-holding capacity. As egg yolk proportion in reconstituted liquid egg increased, the viscoelasticity of the dough first increased and then decreased, while the strain exhibited a completely opposite trend. When yolk proportion in reconstituted liquid egg reached 70%, the dough had the largest viscoelasticity, the strongest resistance against external deformation and the most stable structure. With this formulation, the specific volume of the bread was the largest (4.82 mL/g ), which was 26.5% higher than the bread with sodium stearyl lactate (SSL group). The hardness and gumminess were the lowest, which were 261.50 g and 219.224 g, the cohesiveness was the highest, which was 0.848, and the elasticity and resilience were also at a high level, which increased by 5.9% and 11.6%, compared with the SSL group. However, liquid egg containing excessive egg yolks (80%~100%) could adversely affect the inner structure of the dough, resulting in a decrease in the size of the bread and a rough internal tissue. In summary, reconstituted liquid egg with 70% of yolk exhibits the best effect on improving the processing performance of dough and baking quality of bread.

     

/

返回文章
返回