• 中国科技期刊卓越行动计划项目资助期刊
  • 中国精品科技期刊
  • 首都科技期刊卓越行动计划
  • EI
  • Scopus
  • CAB Abstracts
  • Global Health
  • 北大核心期刊
  • DOAJ
  • EBSCO
  • 中国核心学术期刊RCCSE A+
  • 中国科技核心期刊CSTPCD
  • JST China
  • FSTA
  • 中国农林核心期刊
  • 中国开放获取期刊数据库COAJ
  • CA
  • WJCI
  • 食品科学与工程领域高质量科技期刊分级目录第一方阵T1
中国精品科技期刊2020
曹伟东,刘黎红. 酸枣仁皂苷对铅暴露小鼠肝肾氧化损伤和肠道微生物的影响J. 食品工业科技,2025,46(8):371−381. doi: 10.13386/j.issn1002-0306.2024060299.
引用本文: 曹伟东,刘黎红. 酸枣仁皂苷对铅暴露小鼠肝肾氧化损伤和肠道微生物的影响J. 食品工业科技,2025,46(8):371−381. doi: 10.13386/j.issn1002-0306.2024060299.
CAO Weidong, LIU Lihong. Effects of Saponins of Semen Ziziphi Spinosae on Oxidative Damage of Liver and Kidney and Intestinal Microflora in Lead-exposed MiceJ. Science and Technology of Food Industry, 2025, 46(8): 371−381. (in Chinese with English abstract). doi: 10.13386/j.issn1002-0306.2024060299.
Citation: CAO Weidong, LIU Lihong. Effects of Saponins of Semen Ziziphi Spinosae on Oxidative Damage of Liver and Kidney and Intestinal Microflora in Lead-exposed MiceJ. Science and Technology of Food Industry, 2025, 46(8): 371−381. (in Chinese with English abstract). doi: 10.13386/j.issn1002-0306.2024060299.

酸枣仁皂苷对铅暴露小鼠肝肾氧化损伤和肠道微生物的影响

Effects of Saponins of Semen Ziziphi Spinosae on Oxidative Damage of Liver and Kidney and Intestinal Microflora in Lead-exposed Mice

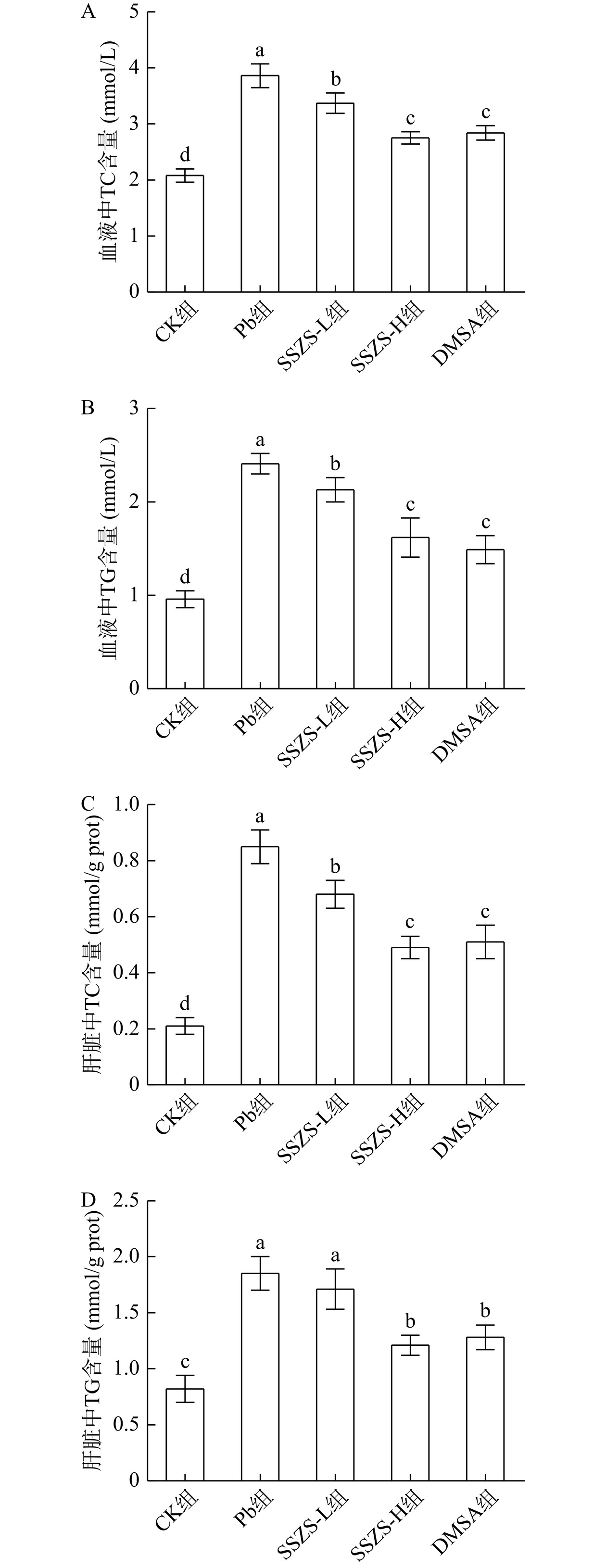
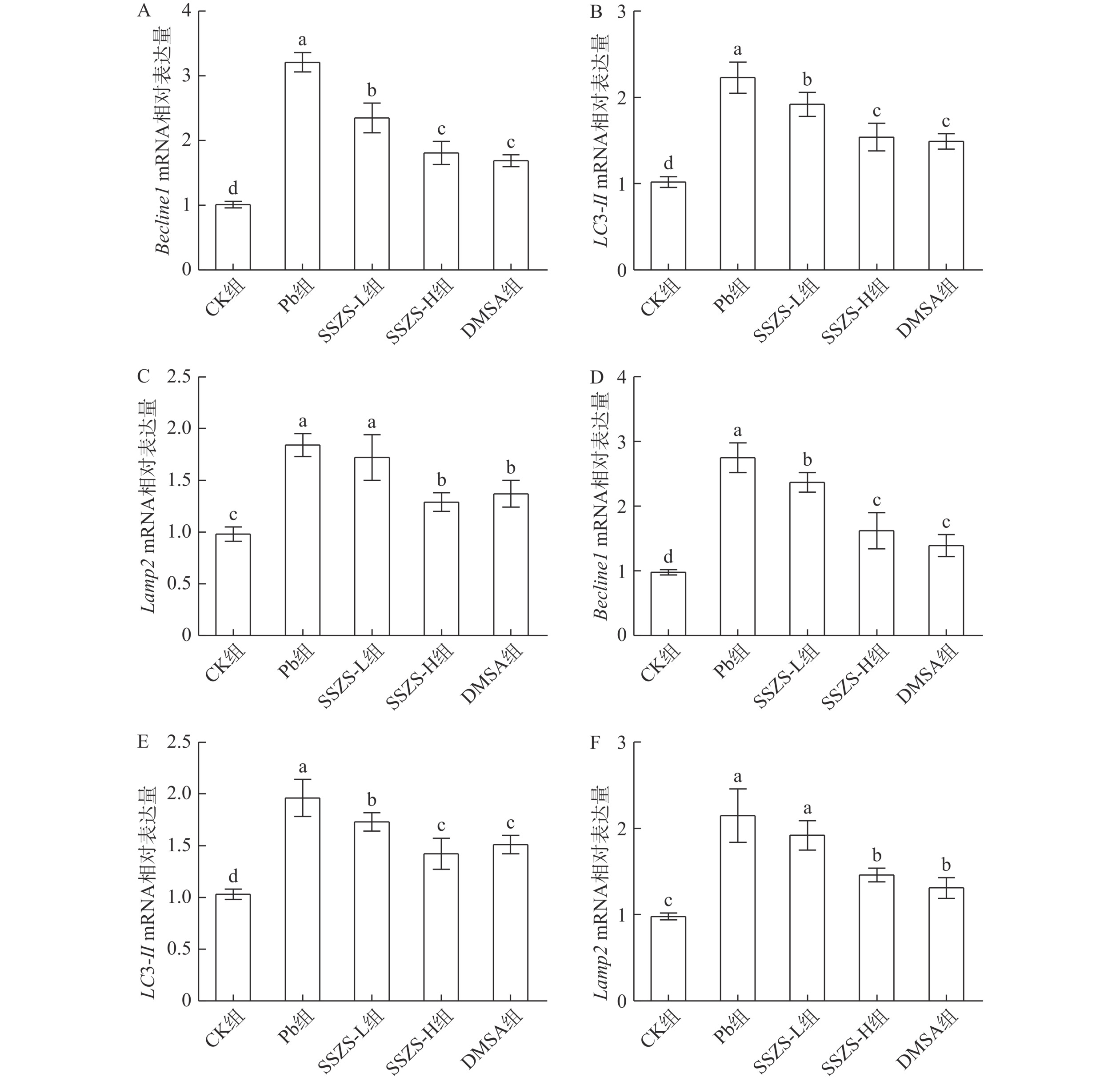
  • 摘要: 目的:探究酸枣仁皂苷对铅中毒小鼠肝肾氧化损伤及肠道微生物菌群组成的影响以及其解毒机制。方法:小鼠饮用含0.05%醋酸铅水构造Pb中毒模型,同时给予小鼠灌胃不同浓度的酸枣仁皂苷和二巯基丁二酸进行治疗,试验期间记录小鼠的体重变化,并测定血液、肝脏、肾脏和脑中Pb浓度、血浆和肝脏TC和TG含量以及肝脏和肾脏氧化应激相关指标,检测肝脏和肾脏自噬相关基因表达和16S rDNA测序技术分析小鼠粪便肠道菌群的变化。结果:与Pb组相比,酸枣仁皂苷显著降低了小鼠血液、肝脏、肾脏和脑中铅含量,提高肝脏和肾脏抗氧化酶活性,改善Pb暴露导致的脂代谢紊乱。此外,酸枣仁皂苷通过调节小鼠肝脏和肾脏中自噬相关基因Beclin1、LC3-ⅡLamp2 mRNA的表达水平抑制铅导致的肝脏和肾脏细胞过度自噬,减轻铅暴露导致的肝肾损伤。酸枣仁皂苷通过提高小鼠肠道微生物菌群丰富度和多样性,提高肠道微生物属水平中norank-f-MuribaculaceaeLactobacillus属的相对丰度,降低AllobaculumStaphylococcusCoriobacteriaceai-UCG-002相对丰度,调节Pb暴露小鼠肠道微生物菌群组成,从而改善肠道健康。结论:酸枣仁皂苷可通过调节Pb暴露小鼠肠道微生物组成和肝肾自噬相关基因的表达,提高肝肾抗氧化酶活力,并改善Pb暴露导致的脂质代谢紊乱,从而缓解小鼠Pb中毒,研究结果为酸枣仁皂苷作为一种天然抗铅剂奠定了理论基础。

     

    Abstract: Objective: To investigate the effects of saponins of Semen Ziziphi Spinosae (SSZS) on liver and kidney oxidative damage and intestinal flora composition in lead-exposed mice and explore its detoxification mechanism. Methods: The Pb-intoxicated mice model was induced by drinking water containing 0.05% lead acetate. Different concentrations of SSZS and DMSA were administered orally to the mice for treatment. During the experiment, the weight changes of the mice were recorded, and the Pb content of blood, liver, kidney and brain, TC and TG levels of plasma and liver, as well as oxidative stress related indicators in liver and kidney were measured. In addition, the expression of autophagy related genes in the liver and kidney was detected, and 16S rDNA sequencing technology was used to analyze changes in fecal intestinal flora of mice. Results: Compared with the Pb group, SSZS significantly reduced Pb content of the blood, liver, kidney and brain in mice, increased antioxidant enzyme activity in the liver and kidney, and improved lipid metabolism disorders caused by Pb exposure. In addition, SSZS inhibited that Pb induced excessive autophagy in liver and kidney cells by regulating the expression levels of autophagy related genes of Beclin1, LC3-Ⅱ, and Lamp2 mRNA of liver and kidney in mice, thereby reducing liver and kidney damage caused by Pb exposure. Moreover, SSES increased the richness and diversity of the fecal intestinal flora in mice, and increased the relative abundance of norank-f-Muribacaceae and Lactobacillus, decreased the relative abundance of Allobacterium, Staphylococcus, and Coriobacteriaceae-UCG-002, regulated the composition of intestinal flora in Pb-exposed mice, and improved gut health. Conclusion: SSZS can alleviate Pb poisoning in mice by regulating the composition of intestinal flora and the expression of autophagy genes in liver and kidney, increasing the antioxidant enzymes activity of liver and kidney, and improving lipid metabolism disorders caused by Pb exposure. The results of this study provides the theoretical foundation for SSZS as a natural anti-Pb agent.

     

/

返回文章
返回