• 中国科技期刊卓越行动计划项目资助期刊
  • 中国精品科技期刊
  • EI
  • Scopus
  • CAB Abstracts
  • Global Health
  • 北大核心期刊
  • DOAJ
  • EBSCO
  • 中国核心学术期刊RCCSE A+
  • 中国科技核心期刊CSTPCD
  • JST China
  • FSTA
  • 中国农林核心期刊
  • 中国开放获取期刊数据库COAJ
  • CA
  • WJCI
  • 食品科学与工程领域高质量科技期刊分级目录第一方阵T1
中国精品科技期刊2020
刘兴丽,任晨辉,申慧珊,等. 蛋白质谷氨酰胺酶对玉米醇溶蛋白界面性质的影响J. 食品工业科技,2025,46(5):17−25. doi: 10.13386/j.issn1002-0306.2024060363.
引用本文: 刘兴丽,任晨辉,申慧珊,等. 蛋白质谷氨酰胺酶对玉米醇溶蛋白界面性质的影响J. 食品工业科技,2025,46(5):17−25. doi: 10.13386/j.issn1002-0306.2024060363.
LIU Xingli, REN Chenhui, SHEN Huishan, et al. Effect of Protein Glutaminase on the Interface Properties of ZeinJ. Science and Technology of Food Industry, 2025, 46(5): 17−25. (in Chinese with English abstract). doi: 10.13386/j.issn1002-0306.2024060363.
Citation: LIU Xingli, REN Chenhui, SHEN Huishan, et al. Effect of Protein Glutaminase on the Interface Properties of ZeinJ. Science and Technology of Food Industry, 2025, 46(5): 17−25. (in Chinese with English abstract). doi: 10.13386/j.issn1002-0306.2024060363.

蛋白质谷氨酰胺酶对玉米醇溶蛋白界面性质的影响

Effect of Protein Glutaminase on the Interface Properties of Zein

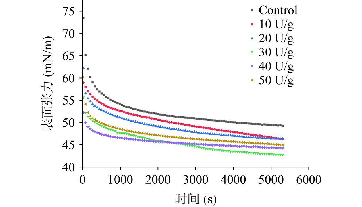
  • 摘要: 为提高玉米醇溶蛋白在食品工业中的应用,本文通过测定溶解度、蛋白质结构、表面疏水性、起泡性、乳化性、表面张力、表面膨胀模量等指标,探究了蛋白质谷氨酰胺酶(Protein Glutaminase,PG)不同添加量(0、10、20、30、40、50 U/g)对玉米醇溶蛋白界面性质的影响。结果表明,随着PG添加量的增加,玉米醇溶蛋白的脱酰胺度逐渐升高,酶添加量为40 U/g时溶解度与对照组相比提升了504.38%。二级结构结果表明,PG使β-折叠相对含量减少,β-转角相对含量增加。内源荧光强度和表面疏水性先减小后增加,其微观结构由块状变成了片状,形成了规则的三维网状结构。拉曼光谱分析结果表明酪氨酸残基峰强比(I850/I830)增强,色氨酸残基峰强比(I760/I1004)先降低后升高。此外,PG降低了玉米醇溶蛋白在气-液界面的表面张力,增强了其表面膨胀模量,显著(P<0.05)提升了其乳化与起泡活性。综上所述,本研究表明PG处理可以改变玉米醇溶蛋白的结构,改善其界面性质,提高功能特性,有利于玉米醇溶蛋白在食品工业中更好的应用。

     

    Abstract: To improve the application of zein in the food industry, the present study explored the effect of adding different amounts (0, 10, 20, 30, 40, and 50 U/g) of protein glutaminase (PG) on the interfacial properties of zein by measuring solubility, protein structure, surface hydrophobicity, foaming, emulsification, surface tension, surface expansion modulus, and other indicators. As the amount of PG added was increased, the degree of zein deamidation gradually increased. When the amount of enzyme added was 40 U/g, the solubility increased by 504.38% compared with that of the control group. The secondary structure results showed that PG reduced the relative content of β-sheet and increased the relative content of β-turn. The endogenous fluorescence intensity and surface hydrophobicity first decreased and then increased, and the microstructure changed from blocks to flakes, forming a regular three-dimensional (3D) network structure. Raman spectral analysis showed that the peak intensity ratio of tyrosine residues (I850/I830) was enhanced, whereas the peak intensity ratio of tryptophan residues (I760/I1004) first decreased and then increased. In addition, PG reduced the surface tension of zein at the air-liquid interface, enhanced its surface expansion modulus, and significantly (P<0.05) improved its emulsification and foaming properties. In summary, the present study showed that PG treatment can change the structure of zein, improve its interfacial properties, and enhance its functional properties, which enables the improved use of zein in the food industry.

     

/

返回文章
返回