• 中国科技期刊卓越行动计划项目资助期刊
  • 中国精品科技期刊
  • EI
  • Scopus
  • CAB Abstracts
  • Global Health
  • 北大核心期刊
  • DOAJ
  • EBSCO
  • 中国核心学术期刊RCCSE A+
  • 中国科技核心期刊CSTPCD
  • JST China
  • FSTA
  • 中国农林核心期刊
  • 中国开放获取期刊数据库COAJ
  • CA
  • WJCI
  • 食品科学与工程领域高质量科技期刊分级目录第一方阵T1
中国精品科技期刊2020
王晓艳,李成,闫茜,等. 高效液相色谱串联质谱法同时检测预制菜中14种甜味剂J. 食品工业科技,2025,46(10):291−300. doi: 10.13386/j.issn1002-0306.2024070005.
引用本文: 王晓艳,李成,闫茜,等. 高效液相色谱串联质谱法同时检测预制菜中14种甜味剂J. 食品工业科技,2025,46(10):291−300. doi: 10.13386/j.issn1002-0306.2024070005.
WANG Xiaoyan, LI Cheng, YAN Xi, et al. Simultaneous Detection of 14 Sweeteners in Pre-prepared Dishes Using High-performance Liquid Chromatography-tandem Mass SpectrometryJ. Science and Technology of Food Industry, 2025, 46(10): 291−300. (in Chinese with English abstract). doi: 10.13386/j.issn1002-0306.2024070005.
Citation: WANG Xiaoyan, LI Cheng, YAN Xi, et al. Simultaneous Detection of 14 Sweeteners in Pre-prepared Dishes Using High-performance Liquid Chromatography-tandem Mass SpectrometryJ. Science and Technology of Food Industry, 2025, 46(10): 291−300. (in Chinese with English abstract). doi: 10.13386/j.issn1002-0306.2024070005.

高效液相色谱串联质谱法同时检测预制菜中14种甜味剂

Simultaneous Detection of 14 Sweeteners in Pre-prepared Dishes Using High-performance Liquid Chromatography-tandem Mass Spectrometry

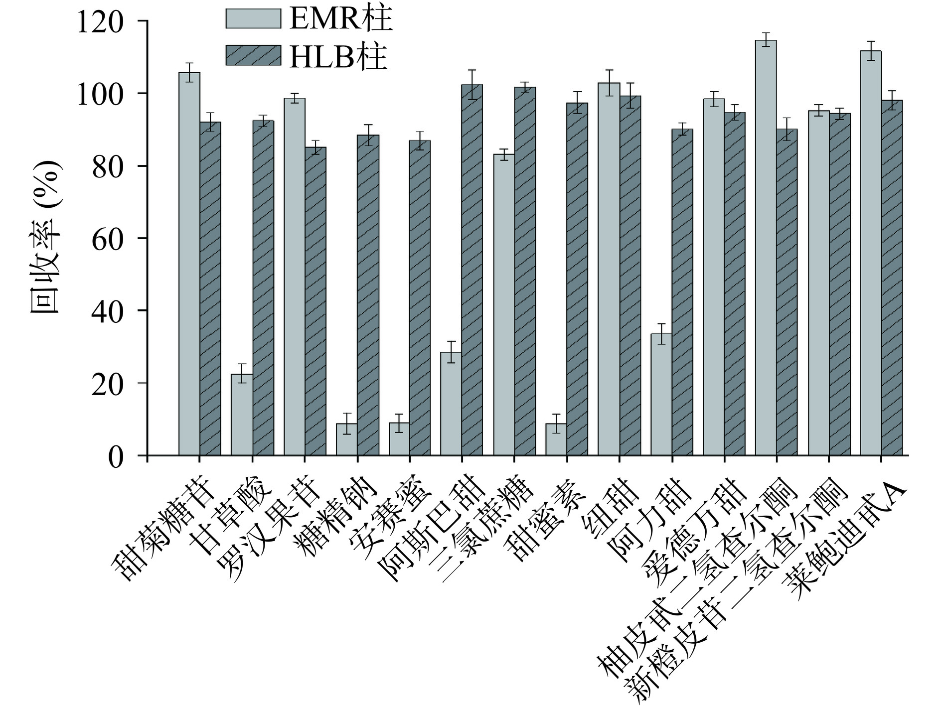
  • 摘要: 鉴于当前缺乏直接检测预制菜中甜味剂的有效方法,本研究建立了一种高效液相色谱-串联质谱(HPLC-MS/MS)同时检测预制菜中14种甜味剂的分析方法。样品经80%甲醇水(pH3)超声提取10 min,以4 ℃ 、8000 r/min离心5 min,重复提取一次,合并提取液进行旋蒸,将旋蒸后的液体定容至100 mL,加入5 mL正己烷并混匀,涡旋2 min,净化后上机,经ACQUITY HSS T3(100 mm×2.1 mm,1.8 μm)色谱柱分离,以(A)5 mmol乙酸铵0.1%甲酸水溶液和(B)5 mmol乙酸铵0.1%甲酸甲醇溶液为流动相进行梯度洗脱,检测采用电喷雾负离子多反应检测模式。结果表明,14种甜味剂在各自线性浓度范围内,线性关系良好,R2均大于0.999,检出限为0.02~4.30 mg/kg,定量限为0.07~14.33 mg/kg。样品在三个添加水平(1、50.0、125.0 mg/kg)下的回收率在86.2%~107.1%之间,且各水平的相对标准偏差(RSD)均小于10%(n=6)。该方法高效便捷,灵敏度高,可用于预制菜中14种甜味剂的快速检测。

     

    Abstract: In response to the existing methodological gap in direct analysis of sweeteners in ready-to-eat dishes, a novel HPLC-MS/MS-based analytical platform was systematically developed for simultaneous determination of 14 synthetic sweeteners (including acesulfame-K, saccharin, sucralose, etc.) in complex food matrices. This methodology was validated through multi-phase optimization involving matrix-matched calibration, gradient elution protocols, and triple quadrupole mass spectrometric detection. The samples were extracted with 80% methanol-water solution (pH3) under ultrasonic conditions for 10 minutes, followed by centrifugation at 8000 r/min for 5 minutes at 4 ℃. The extraction process was repeated once, and the combined extract was concentrated by rotary evaporation. The concentrated liquid was then diluted to 100 mL, and 5 mL of n-hexane was added. After vortexing for 2 min and purification, the sample was analyzed. The separation process was facilitated by an ACQUITY HSS T3 chromatography column (100 mm×2.1 mm, 1.8 μm), employing a gradient elution technique with two mobile phases: (A) 5 mmol ammonium acetate in 0.1% formic acid aqueous solution and (B) 5 mmol ammonium acetate in 0.1% formic acid methanol solution. For detection, the electrospray negative ion multiple reaction monitoring mode was utilized. The analysis revealed that the 14 sweeteners exhibited strong linear correlations within their respective concentration ranges, with R2 values consistently exceeding 0.999. The detection limits spanned from 0.02 to 4.30 mg/kg, while quantification limits ranged between 0.07 and 14.33 mg/kg. During spiking tests conducted at concentrations of 1.0, 50.0, and 125.0 mg/kg, the recovery rates of the samples fell within the range of 86.2% to 107.1%, accompanied by relative standard deviations (RSD) of less than 10% (n=6). This method demonstrates effective purification, straightforward operation, and high sensitivity, ideal for rapid detection of 14 sweeteners in pre-prepared dishes.

     

/

返回文章
返回