• 中国科技期刊卓越行动计划项目资助期刊
  • 中国精品科技期刊
  • 首都科技期刊卓越行动计划
  • EI
  • Scopus
  • CAB Abstracts
  • Global Health
  • 北大核心期刊
  • DOAJ
  • EBSCO
  • 中国核心学术期刊RCCSE A+
  • 中国科技核心期刊CSTPCD
  • JST China
  • FSTA
  • 中国农林核心期刊
  • 中国开放获取期刊数据库COAJ
  • CA
  • WJCI
  • 食品科学与工程领域高质量科技期刊分级目录第一方阵T1
中国精品科技期刊2020
王紫印,许璐靖,马恺扬,等. 大孔吸附树脂纯化绿豆皮多酚的工艺优化及体外降血糖活性分析J. 食品工业科技,2025,46(8):253−262. doi: 10.13386/j.issn1002-0306.2024070052.
引用本文: 王紫印,许璐靖,马恺扬,等. 大孔吸附树脂纯化绿豆皮多酚的工艺优化及体外降血糖活性分析J. 食品工业科技,2025,46(8):253−262. doi: 10.13386/j.issn1002-0306.2024070052.
WANG Ziyin, XU Lujing, MA Kaiyang, et al. Purification Optimization of Mung Bean Skin Polyphenols by Macroporous Adsorption Resin and Its in Vitro Hypoglycemic ActivityJ. Science and Technology of Food Industry, 2025, 46(8): 253−262. (in Chinese with English abstract). doi: 10.13386/j.issn1002-0306.2024070052.
Citation: WANG Ziyin, XU Lujing, MA Kaiyang, et al. Purification Optimization of Mung Bean Skin Polyphenols by Macroporous Adsorption Resin and Its in Vitro Hypoglycemic ActivityJ. Science and Technology of Food Industry, 2025, 46(8): 253−262. (in Chinese with English abstract). doi: 10.13386/j.issn1002-0306.2024070052.

大孔吸附树脂纯化绿豆皮多酚的工艺优化及体外降血糖活性分析

Purification Optimization of Mung Bean Skin Polyphenols by Macroporous Adsorption Resin and Its in Vitro Hypoglycemic Activity

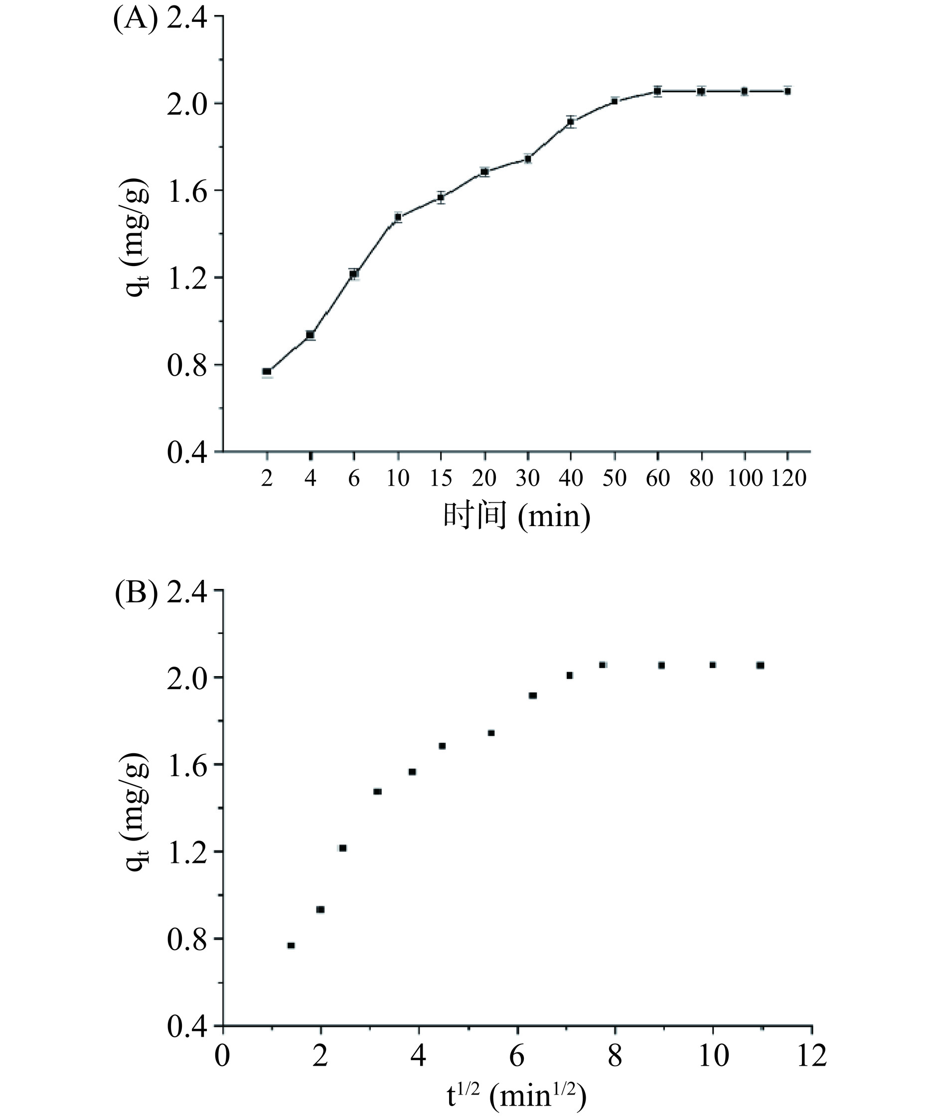
  • 摘要: 为探究绿豆皮多酚(Mung bean skin polyphenols,MBPs)的纯化工艺及其体外降血糖活性,本研究通过超声辅助提取MBPs,研究八种不同类型大孔吸附树脂对MBPs的吸附和解吸情况,筛选出最佳树脂型号,利用单因素实验对纯化工艺进行了优化,并通过超高效液相色谱-电喷雾串联飞行时间四极杆质谱(UPLC-ESI-QTOF-MS/MS)鉴定了纯化后MBPs的化学成分。同时,以阿卡波糖为阳性对照,探究了MBPs对α-淀粉酶和α-葡萄糖苷酶的抑制活性与抑制类型。结果显示,HPD-500树脂对MBPs的吸附-解析效果最好,优化后的纯化工艺参数为:多酚浓度0.25 mg/mL,pH为6,乙醇浓度80%,上样流速1 BV/h,洗脱流速2 BV/h。纯化后MBPs纯度为57.23%,相比粗提物提升了2.55倍。纯化后的MBPs中鉴定出没食子酸、山奈酚、牡荆素、异牡荆素、芹菜素等12种酚类化合物。体外降血糖活性研究结果显示,MBPs对α-淀粉酶和α-葡萄糖苷酶具有较好的抑制活性,其IC50值分别为98.85 μg/mL和7.25 μg/mL,抑制类型均为混合型抑制。综上,纯化后的MBPs具有良好的体外降血糖活性,可作为保健食品的功能成分进行开发利用。

     

    Abstract: To investigate the purification process and in vitro hypoglycemic activity of mung bean skin polyphenols (MBPs), MBPs were extracted using the ultrasonic-assisted extraction method in this study. The adsorption and desorption behaviors of MBPs on eight different types of macroporous adsorption resins were examined, and the optimal resin type was selected. The purification process was optimized through single-factor experiments, and the chemical composition of the purified MBPs was identified using ultra-performance liquid chromatography-electrospray ionization quadrupole time-of-flight tandem mass spectrometry (UPLC-ESI-QTOF-MS/MS). Meanwhile, the inhibitory activities and types of MBPs on α-amylase and α-glucosidase were investigated with acarbose as the positive control. Results showed that HPD-500 resin had the best adsorption-desorption effect on MBPs. The optimized parameters of purification process were polyphenol concentration of 0.25 mg/mL, pH of 6, ethanol concentration of 80%, loading flow rate of 1 BV/h, and elution flow rate of 2 BV/h. The purity of purified MBPs was 57.23%, which was 2.55 times higher than that of the crude extract. Twelve phenolic compounds, including gallic acid, kaempferol, vitexin, isovitexin, and apigenin, were identified in the purified MBPs. The results of in vitro hypoglycemic activity study showed that MBPs had good inhibitory activities on α-amylase and α-glucosidase, with IC50 values of 98.85 μg/mL and 7.25 μg/mL, respectively, and the inhibition of MBPs against both enzymes was mixed-type inhibition. In summary, purified MBPs had good in vitro hypoglycemic activity and could be developed and utilized as functional ingredients in health foods.

     

/

返回文章
返回