Abstract:
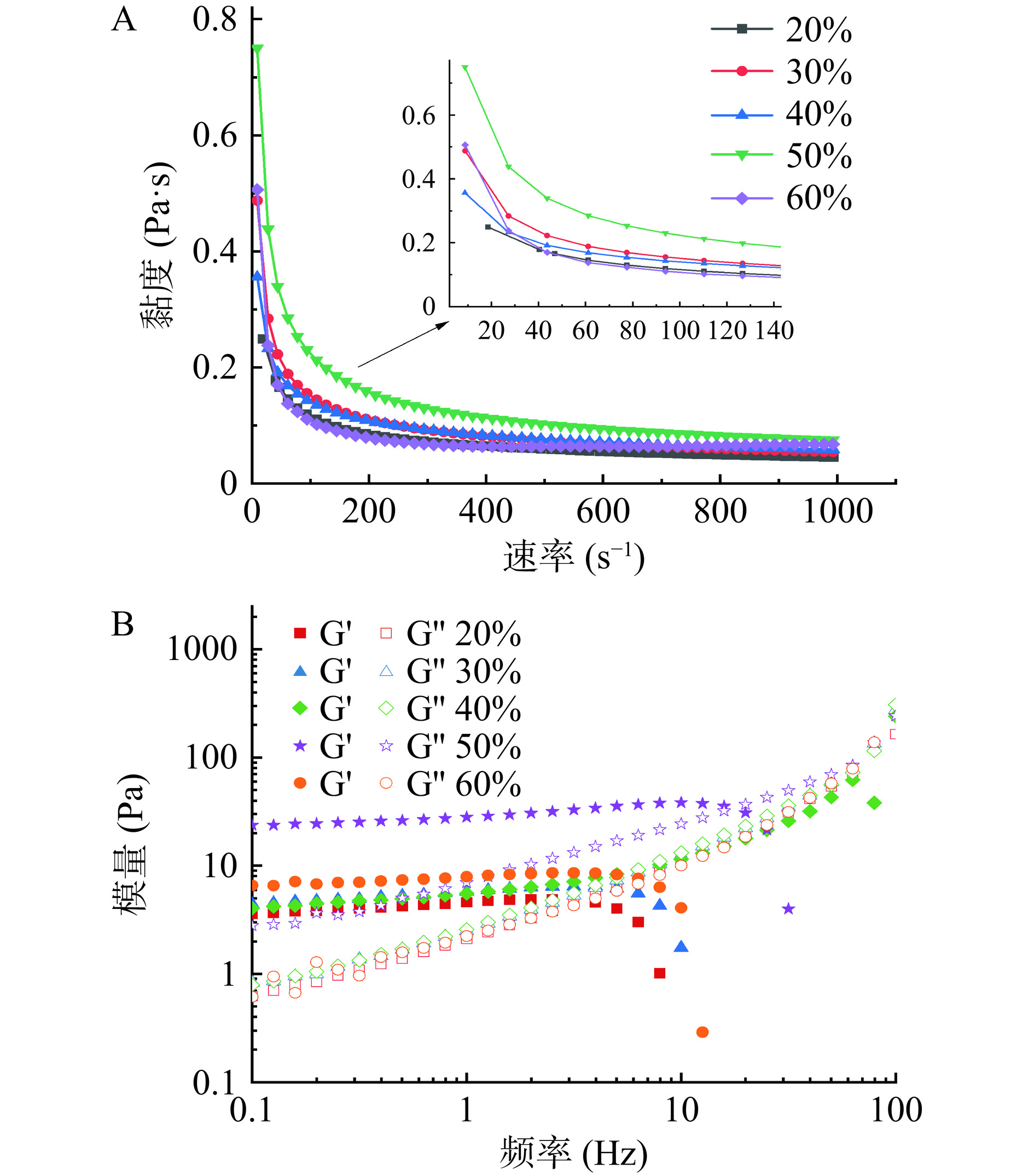
Via electrostatic interactions, walnut protein isolate (WPI) and chitosan (CS) were assembled into WPI-CS nanoparticles, which were then used to stabilize Pickering emulsions, achieving high-value utilization of walnut protein resources. The effects of the mass ratio of WPI to CS were investigated via nanoparticle size analysis, Zeta potential measurement, Fourier transform infrared spectroscopy (FTIR), differential scanning calorimetry (DSC), and other analytical techniques. The microstructure, rheological properties, and storage stability of the Pickering emulsions were analyzed to evaluate the influence of nanoparticle concentration (0.5%~2.5%) and oil phase volume (20%~60%). Results indicated that at a WPI:CS mass ratio of 5:3, the melting temperature reached 80.16 °C, while the WPI-CS nanoparticles exhibited a size of 846.43 nm and a Zeta potential of 56.633 mV, demonstrating excellent emulsification capacity and stability. A tightly crosslinked network structure was formed through hydrogen bonding and electrostatic interactions between the modified WPI and CS-combined WPI. The minimum droplet size of the Pickering emulsion was 18.05 μm under the optimal conditions: a WPI:CS mass ratio of 5:3, oil phase volume fraction of 40%, and WPI-CS nanoparticle concentration of 1.5% (w/w). After 15 days of storage, the emulsion maintained uniform droplet distribution with preserved spherical morphology. A gel network structure dominated by elasticity was observed within the emulsion, exhibiting frequency-dependent degradation during dynamic oscillatory rheological testing.