• 中国科技期刊卓越行动计划项目资助期刊
  • 中国精品科技期刊
  • 首都科技期刊卓越行动计划
  • EI
  • Scopus
  • CAB Abstracts
  • Global Health
  • 北大核心期刊
  • DOAJ
  • EBSCO
  • 中国核心学术期刊RCCSE A+
  • 中国科技核心期刊CSTPCD
  • JST China
  • FSTA
  • 中国农林核心期刊
  • 中国开放获取期刊数据库COAJ
  • CA
  • WJCI
  • 食品科学与工程领域高质量科技期刊分级目录第一方阵T1
中国精品科技期刊2020
董新玉,米锐,王馥仪,等. 海参多糖的结构、健康功效及作用机制的研究进展J. 食品工业科技,2025,46(8):23−32. doi: 10.13386/j.issn1002-0306.2024070404.
引用本文: 董新玉,米锐,王馥仪,等. 海参多糖的结构、健康功效及作用机制的研究进展J. 食品工业科技,2025,46(8):23−32. doi: 10.13386/j.issn1002-0306.2024070404.
DONG Xinyu, MI Rui, WANG Fuyi, et al. Research Progress of Sea Cucumber Polysaccharides on the Structure, Health Efficacy and MechanismJ. Science and Technology of Food Industry, 2025, 46(8): 23−32. (in Chinese with English abstract). doi: 10.13386/j.issn1002-0306.2024070404.
Citation: DONG Xinyu, MI Rui, WANG Fuyi, et al. Research Progress of Sea Cucumber Polysaccharides on the Structure, Health Efficacy and MechanismJ. Science and Technology of Food Industry, 2025, 46(8): 23−32. (in Chinese with English abstract). doi: 10.13386/j.issn1002-0306.2024070404.

海参多糖的结构、健康功效及作用机制的研究进展

Research Progress of Sea Cucumber Polysaccharides on the Structure, Health Efficacy and Mechanism

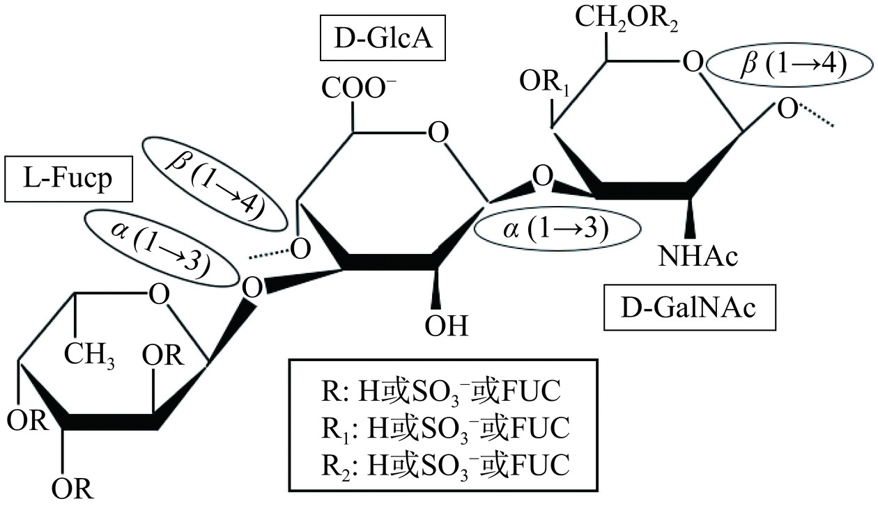
  • 摘要: 海参多糖具有独特的结构和广泛的生物活性,进入机体后可以作为调节剂或与微生物群相互作用来发挥健康功效。本文总结了海参多糖的分类及结构,对比分析了不同种类的海参糖胺聚糖和海参岩藻聚糖硫酸酯的分子量、化学组成、单糖组成的比例以及硫酸根含量。梳理了海参多糖通过抗凝血作用控制血栓、通过免疫调节作用抑制肿瘤细胞的功效机制,并综述了海参多糖作为益生元调节肠道菌群、改善代谢类疾病的相关进展。阐明海参多糖作为功效活性物质改善血栓、肿瘤、肥胖、糖尿病等多种健康问题的可行性,展望了海参多糖在药品和食品研究及开发的发展方向,为海参多糖的功能性应用提供理论依据。

     

    Abstract: Sea cucumber polysaccharides (SCPs) are characterized by their unique structural configurations and broad-spectrum bioactivities, which are manifested through their regulatory functions or interactions with microbial communities upon entering the organism. This paper systematically reviews SCPs into two primary categories: glycosaminoglycans (GAGs) and sulfated fucoidans, with detailed comparisons of their molecular weights, chemical compositions, monosaccharide ratios and sulfate contents. The mechanisms underlying their therapeutic effects are elucidated, including anticoagulant activity through thrombin inhibition and fibrinolytic enhancement, as well as immunomodulatory effects via macrophage activation and tumor cell apoptosis induction. Furthermore, the prebiotic potential of SCPs in modulating gut microbiota and alleviating metabolic disorders such as obesity and diabetes is reviewed. The feasibility of SCPs as bioactive agents for addressing various health issues, including thrombosis, cancer, obesity, and diabetes is demonstrated. Future research directions emphasize the development of SCPs in pharmaceutical and functional food applications, providing a theoretical foundation for their functional utilization.

     

/

返回文章
返回