• 中国科技期刊卓越行动计划项目资助期刊
  • 中国精品科技期刊
  • EI
  • Scopus
  • CAB Abstracts
  • Global Health
  • 北大核心期刊
  • DOAJ
  • EBSCO
  • 中国核心学术期刊RCCSE A+
  • 中国科技核心期刊CSTPCD
  • JST China
  • FSTA
  • 中国农林核心期刊
  • 中国开放获取期刊数据库COAJ
  • CA
  • WJCI
  • 食品科学与工程领域高质量科技期刊分级目录第一方阵T1
中国精品科技期刊2020
钟亚东,潘猛,徐德昌,等. 茯苓-山药复配米稀和猴头菇饼干对功能性消化不良大鼠的改善作用J. 食品工业科技,2021,42(22):355−362. doi: 10.13386/j.issn1002-0306.2021020065.
引用本文: 钟亚东,潘猛,徐德昌,等. 茯苓-山药复配米稀和猴头菇饼干对功能性消化不良大鼠的改善作用J. 食品工业科技,2021,42(22):355−362. doi: 10.13386/j.issn1002-0306.2021020065.
ZHONG Yadong, PAN Meng, XU Dechang, et al. Ameliorative Effect of Poria cocos-Yam Riched Rice Paste and Hericium erinaceus Biscuit on Rats with Functional DyspepsiaJ. Science and Technology of Food Industry, 2021, 42(22): 355−362. (in Chinese with English abstract). doi: 10.13386/j.issn1002-0306.2021020065.
Citation: ZHONG Yadong, PAN Meng, XU Dechang, et al. Ameliorative Effect of Poria cocos-Yam Riched Rice Paste and Hericium erinaceus Biscuit on Rats with Functional DyspepsiaJ. Science and Technology of Food Industry, 2021, 42(22): 355−362. (in Chinese with English abstract). doi: 10.13386/j.issn1002-0306.2021020065.

茯苓-山药复配米稀和猴头菇饼干对功能性消化不良大鼠的改善作用

Ameliorative Effect of Poria cocos-Yam Riched Rice Paste and Hericium erinaceus Biscuit on Rats with Functional Dyspepsia

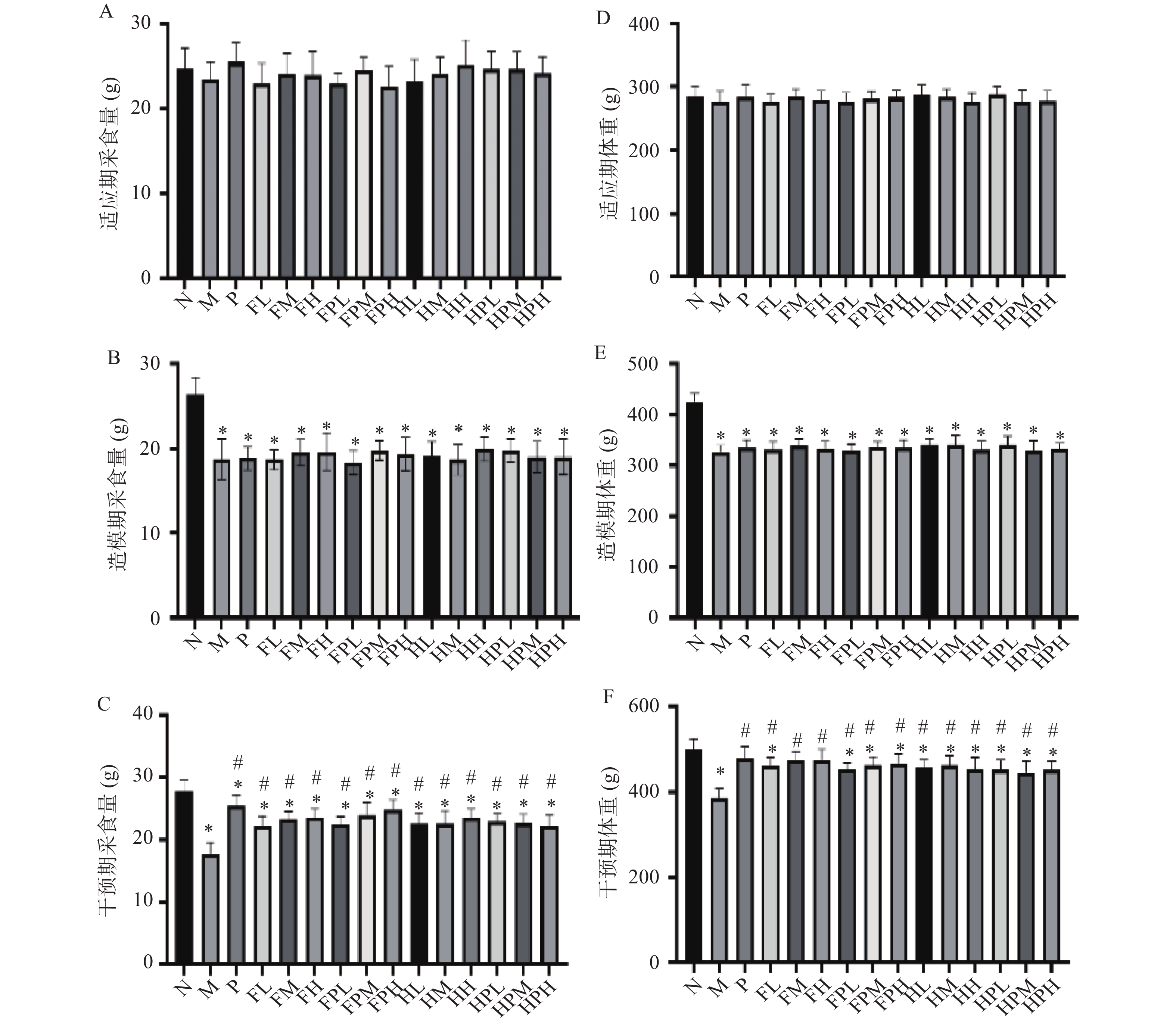
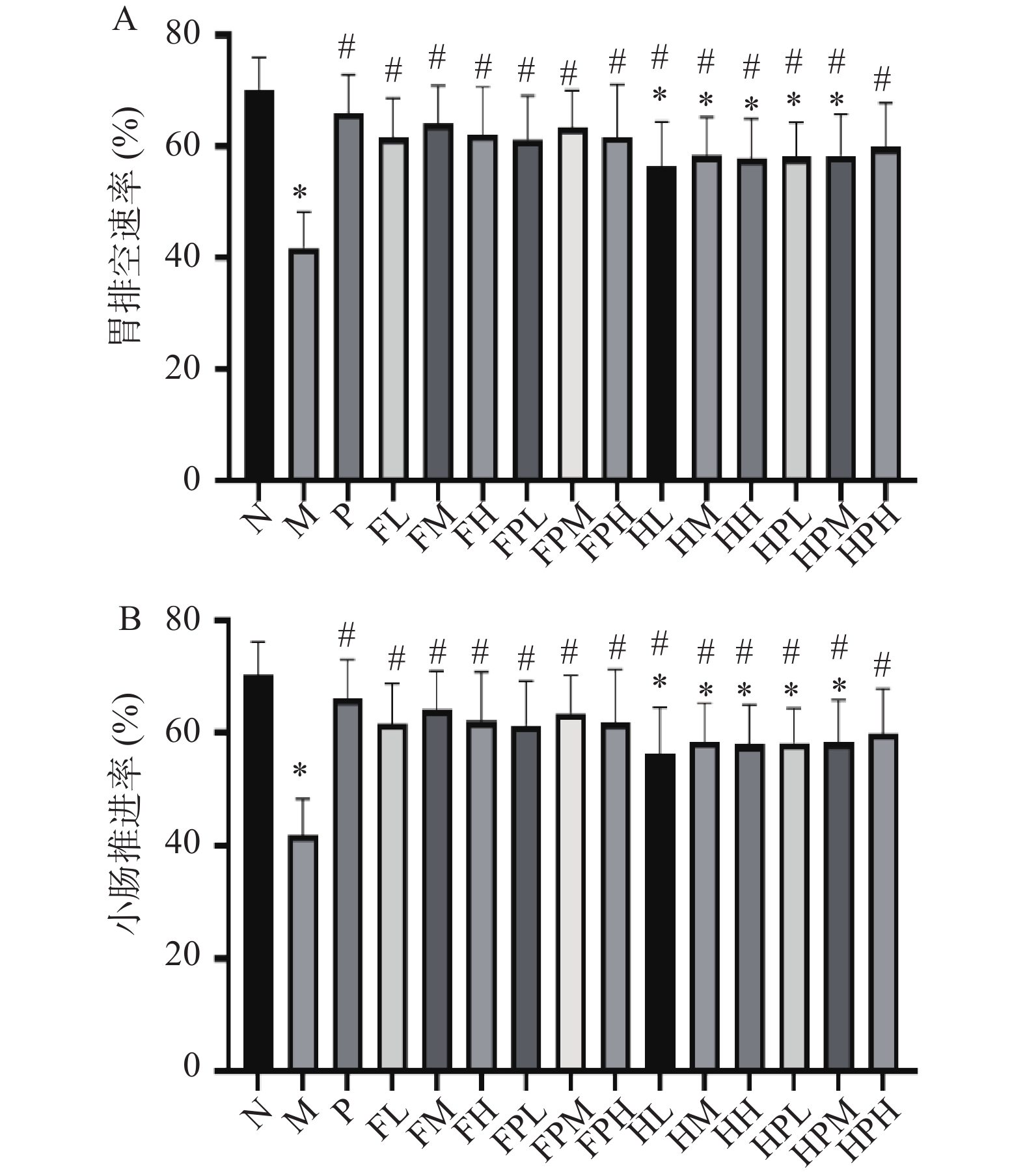
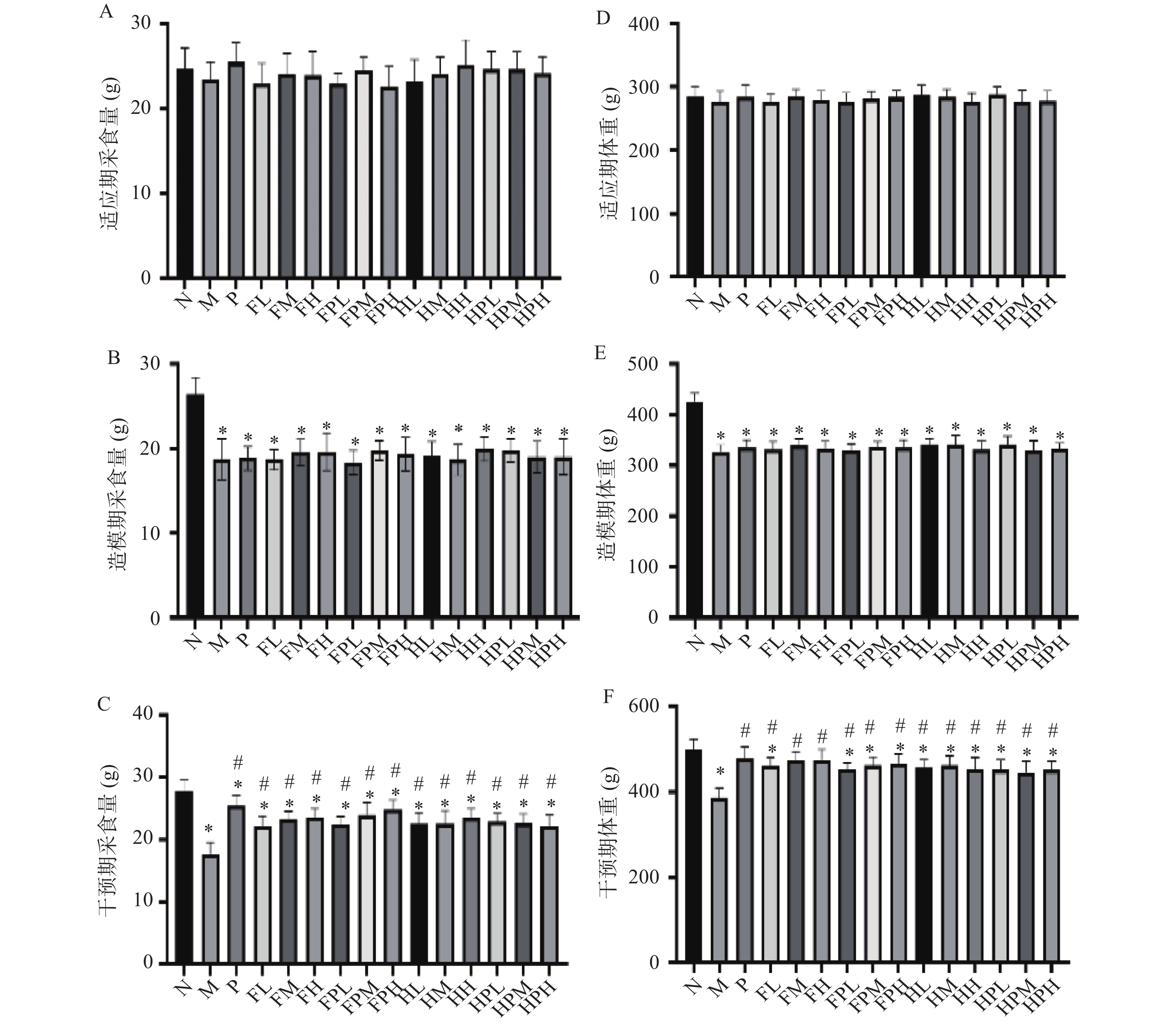
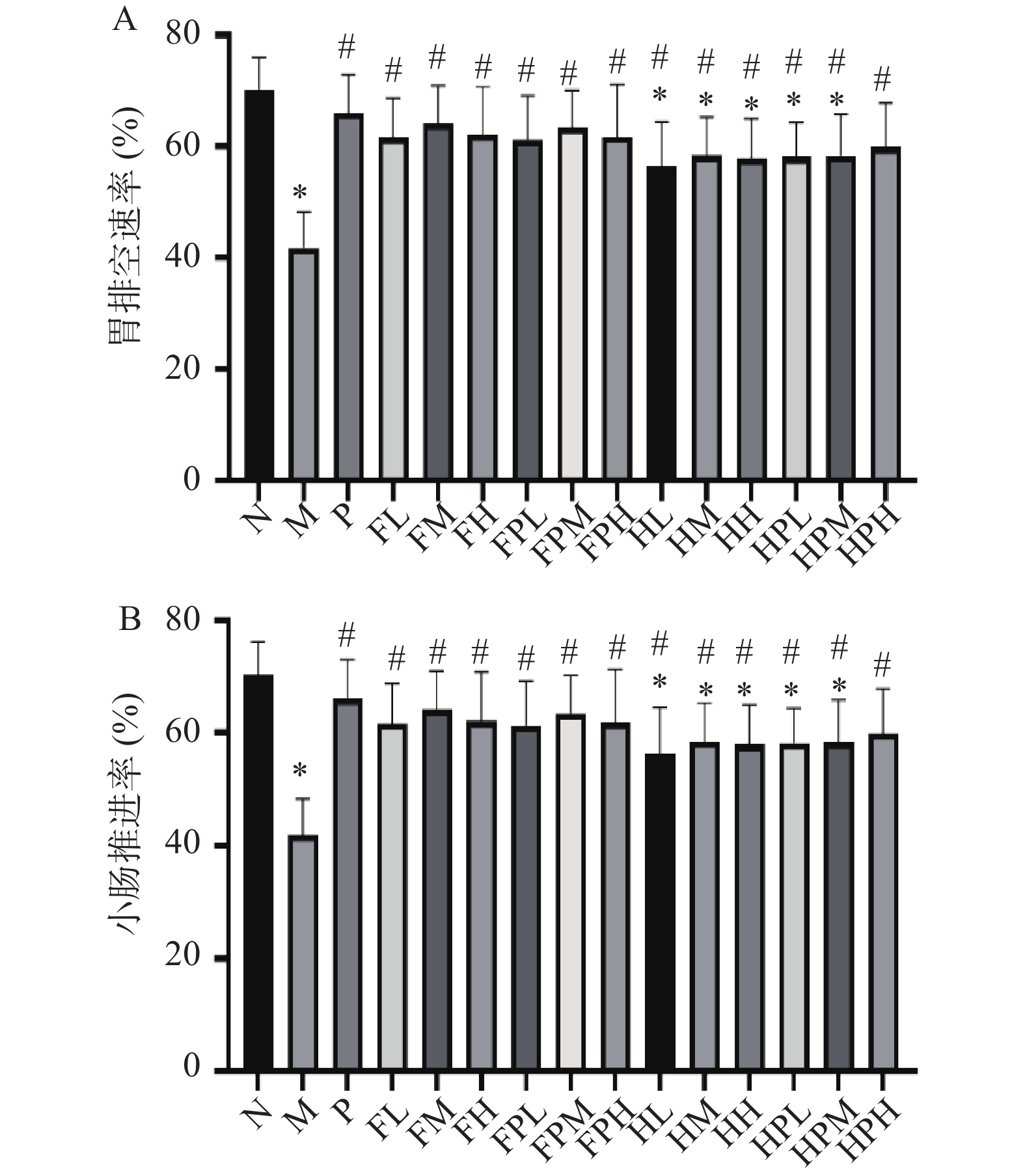
  • 摘要: 探讨基于茯苓-山药复配提取物开发的米稀和基于猴头菇提取物开发的饼干对大鼠功能性消化不良的改善作用。构建功能性消化不良大鼠模型,随机分为模型组,阳性组,茯苓-山药复配提取物低、中、高剂量组,米稀低、中、高剂量组,猴头菇提取物低、中、高剂量组,猴头菇饼干低、中、高剂量组,连续14 d灌胃相应受试物。研究结果显示,灌胃四种受试物显著增加了功能性消化不良大鼠的体重、采食量、胃排空率、小肠推进速率、血清胃动素和胃泌素水平,显著(P<0.05)降低血清胆囊收缩素水平。此外,灌胃四种受试物还显著(P<0.05)增加结肠中乙酸、丙酸、丁酸和总短链脂肪酸水平。灌胃四种受试物均可有效改善大鼠功能性消化不良症状,其中茯苓-山药复配各组的改善作用总体优于猴头菇各组,提取物与产品作用相似,且以中剂量效果最佳。本研究结果可为改善胃肠道功能健康产品的开发提供数据支持。

     

    Abstract: Effect of rice paste based on Poria cocos-yam extract and biscuit riched in Hericium erinaceus extract on functional dyspepsia in rats were investigated. Functional dyspepsia rat mblished, and rats were randomly divided into model-, positive-, Poria cocos-yam extracts-(low, medium and high dose), rice paste-(low, medium and high dose), Hericium erainaceus extract-(low, medium and high dose), and biscuit-(low, medium and high dose) treated groups. The corresponding materials were orally administered for 14 days. The results showed that giving the four materials significantly (P<0.05) increased the body weight, feed intake, gastric emptying rate, small intestinal propulsion rate, serum motilin and gastrin levels, and significantly (P<0.05) reduced serum cholecystokinin level in rats with functional dyspepsia, with the colonic levels of acetic-, propionic-, butyric- and total short-chain fatty acids also increased. In summary, the four materials could effectively ameliorate the symptoms of functional dyspepsia in rats, while Poria cocos-yam extract and rice paste functioned better than Hericium erinaceus extract and biscuit, the extracts exerted similar effect with the corresponding products, and the medium dose showed the best effect. The results of this study could provide data to support the development of products which improved gastrointestinal function and health.

     

/

返回文章
返回