• 中国科技期刊卓越行动计划项目资助期刊
  • 中国精品科技期刊
  • EI
  • Scopus
  • CAB Abstracts
  • Global Health
  • 北大核心期刊
  • DOAJ
  • EBSCO
  • 中国核心学术期刊RCCSE A+
  • 中国科技核心期刊CSTPCD
  • JST China
  • FSTA
  • 中国农林核心期刊
  • 中国开放获取期刊数据库COAJ
  • CA
  • WJCI
  • 食品科学与工程领域高质量科技期刊分级目录第一方阵T1
中国精品科技期刊2020
刘珍,王金厢,李学鹏,等. 大豆分离蛋白与金线鱼肌球蛋白的相互作用对其凝胶特性的影响J. 食品工业科技,2023,44(16):122−130. doi: 10.13386/j.issn1002-0306.2022110207.
引用本文: 刘珍,王金厢,李学鹏,等. 大豆分离蛋白与金线鱼肌球蛋白的相互作用对其凝胶特性的影响J. 食品工业科技,2023,44(16):122−130. doi: 10.13386/j.issn1002-0306.2022110207.
LIU Zhen, WANG Jinxiang, LI Xuepeng, et al. Effect of Interaction between Soy Protein Isolate and Nemipterus virgatus Myosin on Its Gel PropertiesJ. Science and Technology of Food Industry, 2023, 44(16): 122−130. (in Chinese with English abstract). doi: 10.13386/j.issn1002-0306.2022110207.
Citation: LIU Zhen, WANG Jinxiang, LI Xuepeng, et al. Effect of Interaction between Soy Protein Isolate and Nemipterus virgatus Myosin on Its Gel PropertiesJ. Science and Technology of Food Industry, 2023, 44(16): 122−130. (in Chinese with English abstract). doi: 10.13386/j.issn1002-0306.2022110207.

大豆分离蛋白与金线鱼肌球蛋白的相互作用对其凝胶特性的影响

Effect of Interaction between Soy Protein Isolate and Nemipterus virgatus Myosin on Its Gel Properties

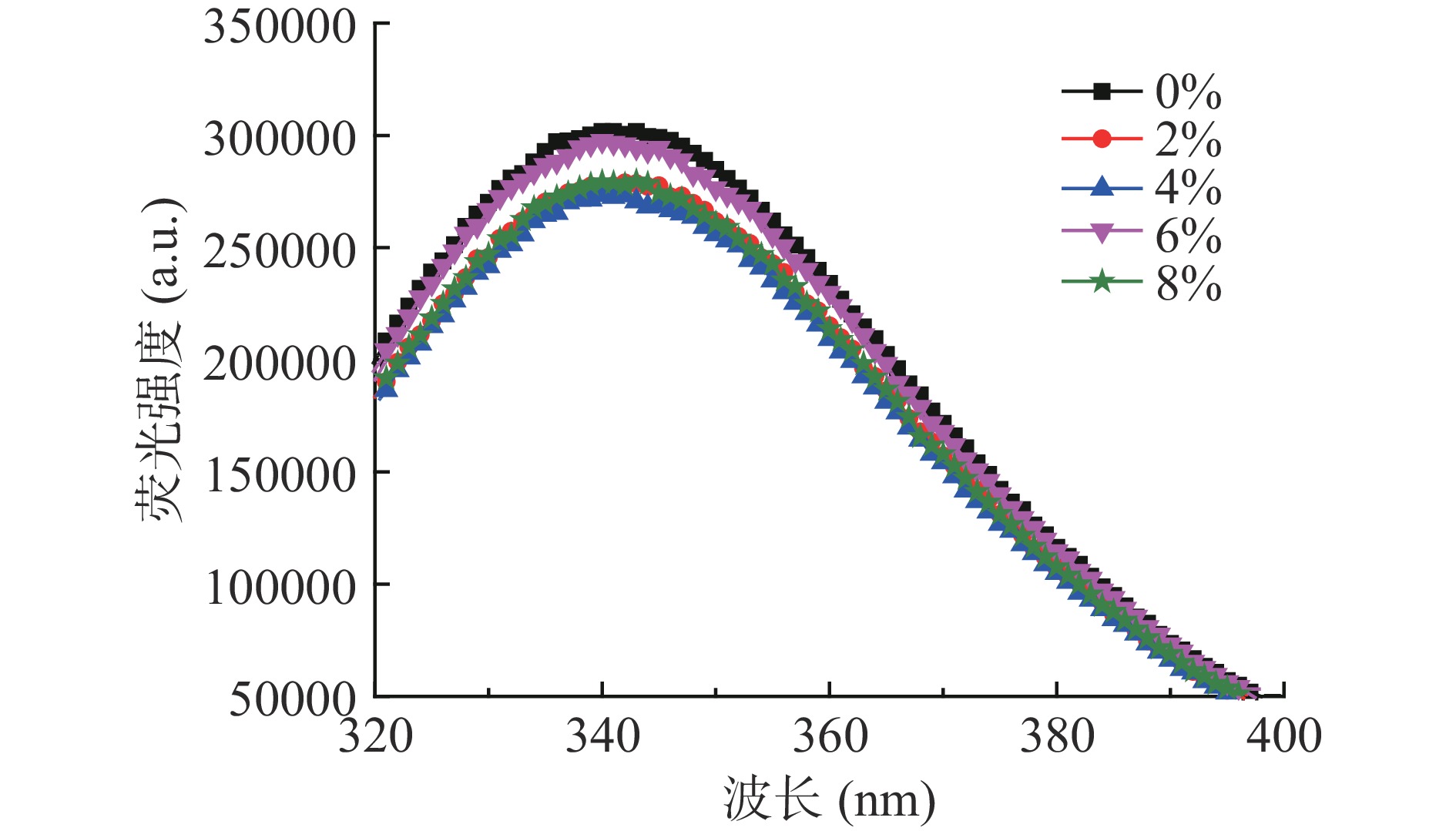
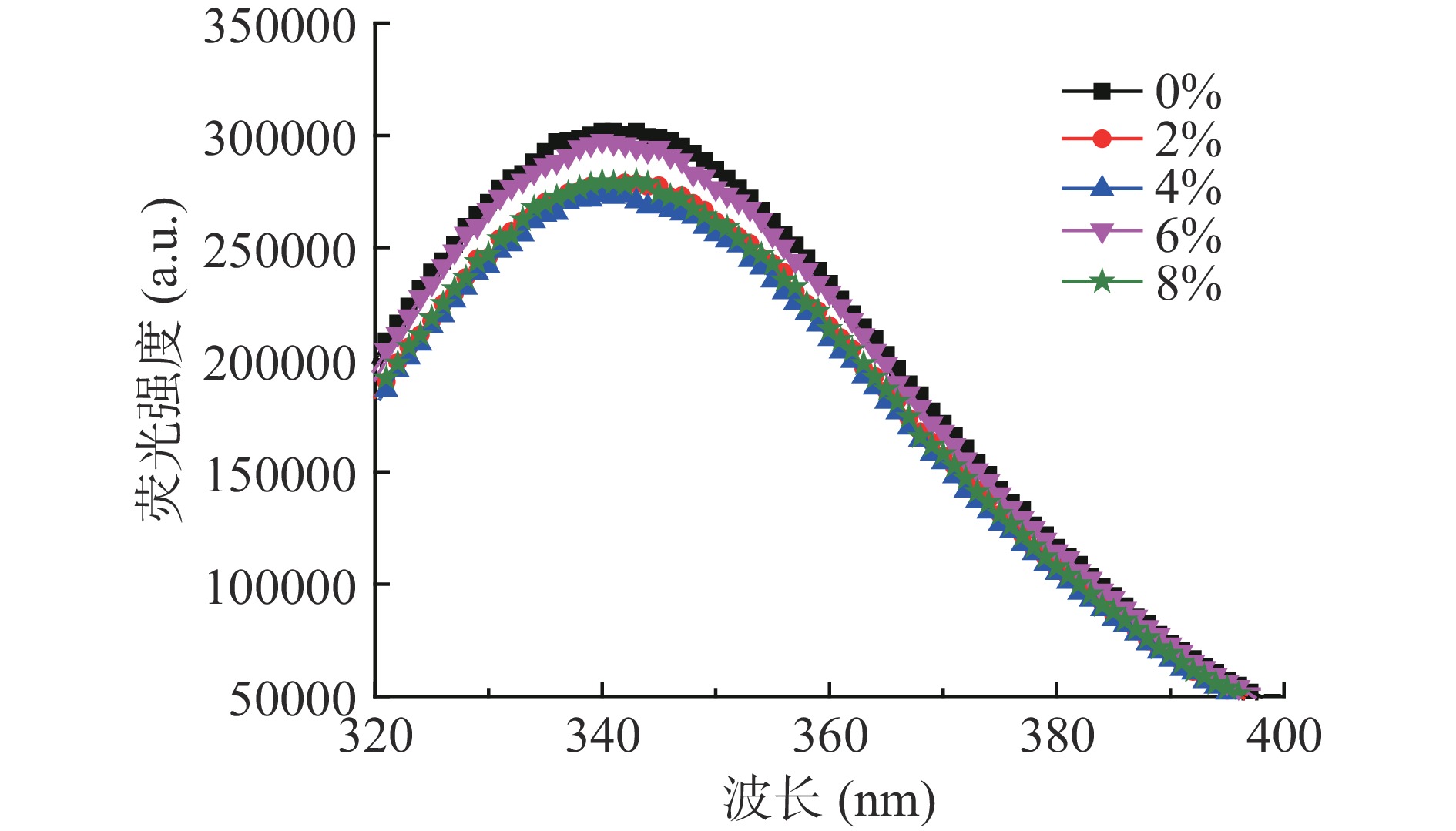
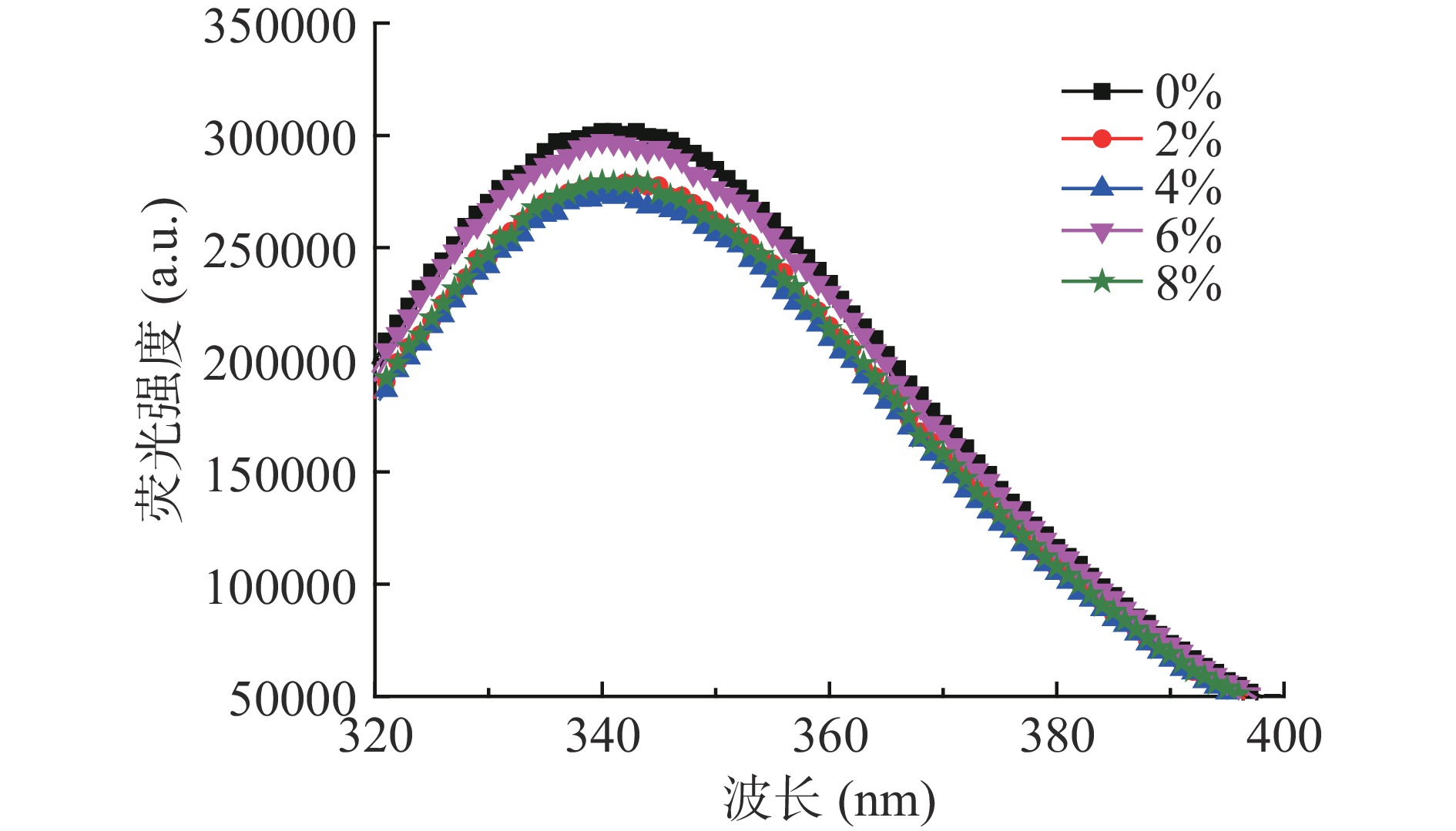
  • 摘要: 为探究大豆分离蛋白(soybean protein isolate,SPI)与肌球蛋白的相互作用及其对肌球蛋白凝胶特性的影响,本研究以金线鱼肌球蛋白为原料,添加0%~8%(w/w)的SPI制成混合体系并分析其理化特性、光谱特性和凝胶特性。结果显示,添加SPI后,金线鱼肌球蛋白-SPI混合体系的内源荧光强度降低,紫外吸光度、总巯基含量、氢键和疏水相互作用增加,表明SPI和金线鱼肌球蛋白之间存在疏水相互作用、氢键、二硫键等非共价相互作用和共价相互作用,促使金线鱼肌球蛋白构象变化。同时,随着SPI添加量的增加,金线鱼肌球蛋白-SPI混合凝胶的凝胶强度、硬度和β-折叠含量均呈现出先增加后减小的趋势。当SPI的添加量为4%时,金线鱼肌球蛋白-SPI混合体系的总巯基含量和疏水相互作用最大,较对照组分别提升了64.46%和13.53%;加热后金线鱼肌球蛋白-SPI混合凝胶的凝胶强度和硬度值也最高,较对照组分别提升了8.66%和9.21%,且部分α-螺旋转变为β-折叠,凝胶网络结构最致密均匀。因此,适量添加SPI可与金线鱼肌球蛋白通过疏水相互作用、氢键、二硫键等促进蛋白分子的聚集和交联,改善金线鱼肌球蛋白的凝胶特性。

     

    Abstract: In this study, myosin isolated from Nemipterus virgatus was added with 0%~8%(w/w)soybean protein isolate (SPI) and the physicochemical, spectroscopic, and gel properties of the composite system were analyzed, in order to investigate the effect of interaction between myosin and SPI on the gel properties of myosin. The results showed that after the addition of SPI, the endogenous fluorescence intensity of the composite system decreased, whereas the ultraviolet absorbance, the total sulfhydryl content, and hydrogen bond as well as hydrophobic interactions increased. These results indicated that there were the hydrophobic interactions, hydrogen bonds, disulfide bonds, and other covalent and non-covalent interactions between SPI and Nemipterus virgatus myosin, which altered the structure and conformation of myosin. Meanwhile, the gel strength, hardness, and β-sheet content of the myosin-SPI composite gels all increased initially and then decreased as the increase addition of SPI. Furthermore, the total sulfhydryl and hydrophobic contents of the myosin-SPI composite system got the highest values when added 4% SPI, which increased by 64.46% and 13.53% compared with the control group, respectively. The gel strength and hardness of the myosin-SPI composite gels were also reached the highest values when added 4% SPI, which increased by 8.66% and 9.21% compared with the control group, respectively. It was also found that a part of α-helices transformed into β-sheets and the gel network was most compact and homogeneous. Therefore, the moderate addition of SPI could promote the aggregation and cross-linking of myosin through the interaction forces such as hydrophobic interactions, hydrogen bonds, and disulfide bonds, and improve the gel properties of myosin.

     

/

返回文章
返回