• 中国科技期刊卓越行动计划项目资助期刊
  • 中国精品科技期刊
  • EI
  • Scopus
  • CAB Abstracts
  • Global Health
  • 北大核心期刊
  • DOAJ
  • EBSCO
  • 中国核心学术期刊RCCSE A+
  • 中国科技核心期刊CSTPCD
  • JST China
  • FSTA
  • 中国农林核心期刊
  • 中国开放获取期刊数据库COAJ
  • CA
  • WJCI
  • 食品科学与工程领域高质量科技期刊分级目录第一方阵T1
中国精品科技期刊2020
董欣,隋欣彤,胡力铭,等. 米汤炮制天麻工艺的优化及抗炎作用J. 食品工业科技,2024,45(16):358−367. doi: 10.13386/j.issn1002-0306.2023090066.
引用本文: 董欣,隋欣彤,胡力铭,等. 米汤炮制天麻工艺的优化及抗炎作用J. 食品工业科技,2024,45(16):358−367. doi: 10.13386/j.issn1002-0306.2023090066.
DONG Xin, SUI Xintong, HU Liming, et al. Optimization of the Processing with Decoction of Millet Technology of Gastrodia elata and Its Anti-inflammatory EfficacyJ. Science and Technology of Food Industry, 2024, 45(16): 358−367. (in Chinese with English abstract). doi: 10.13386/j.issn1002-0306.2023090066.
Citation: DONG Xin, SUI Xintong, HU Liming, et al. Optimization of the Processing with Decoction of Millet Technology of Gastrodia elata and Its Anti-inflammatory EfficacyJ. Science and Technology of Food Industry, 2024, 45(16): 358−367. (in Chinese with English abstract). doi: 10.13386/j.issn1002-0306.2023090066.

米汤炮制天麻工艺的优化及抗炎作用

Optimization of the Processing with Decoction of Millet Technology of Gastrodia elata and Its Anti-inflammatory Efficacy

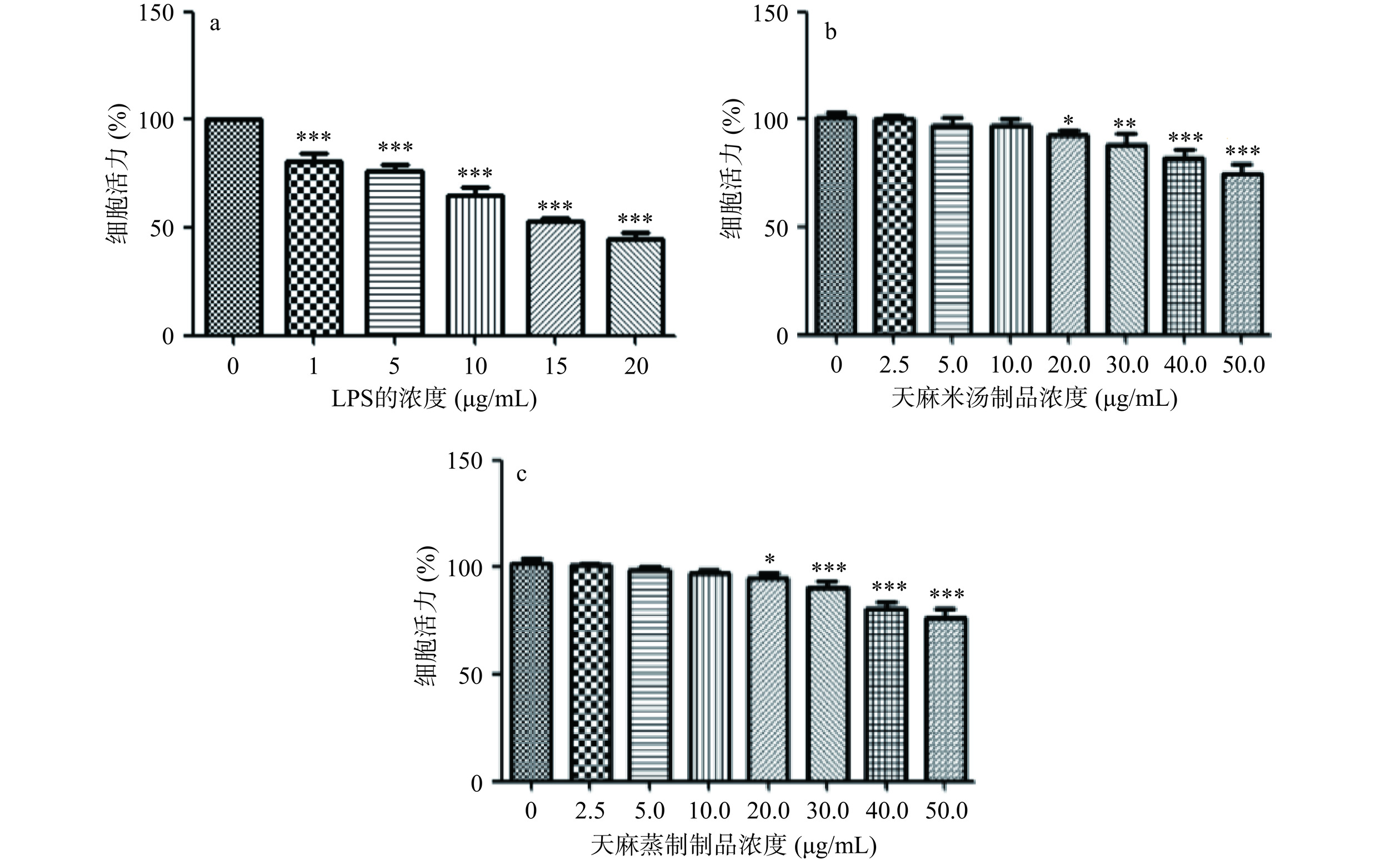
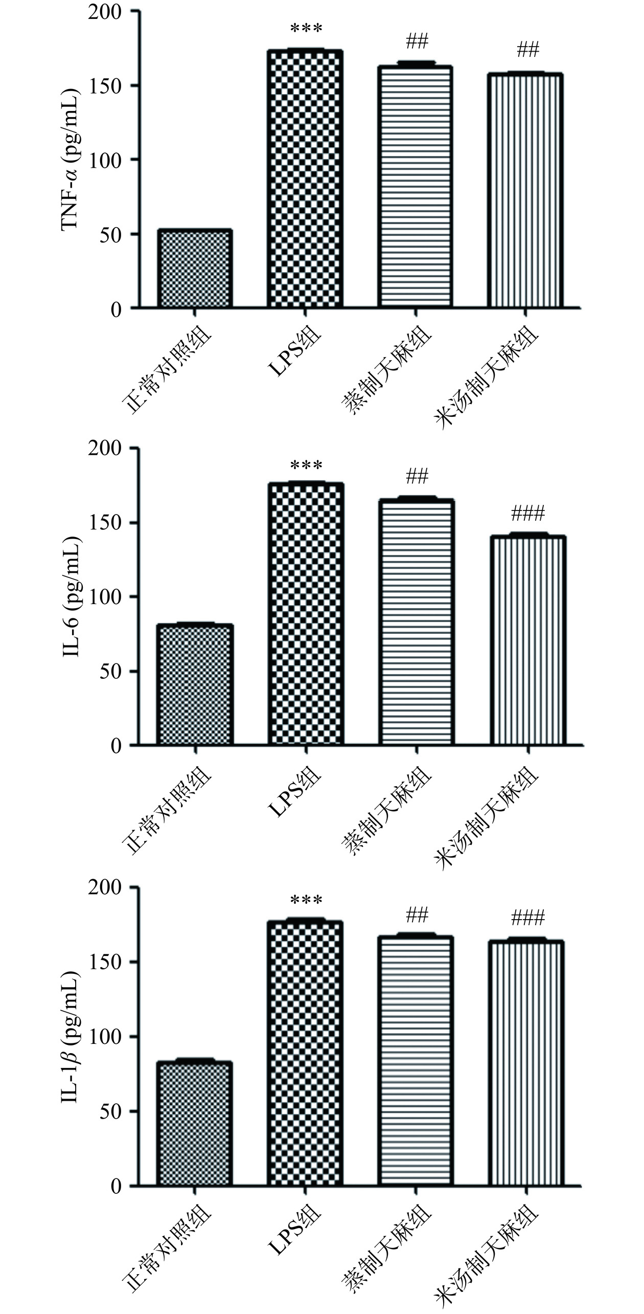
  • 摘要: 优选米汤制天麻的炮制工艺,并考察其对脂多糖(Lipopolysaccharide,LPS)诱导的小胶质细胞(BV-2)炎症反应的作用。采用高效液相色谱法检测天麻提取物中天麻素、对羟基苯甲醇、巴利森苷E、巴利森苷B、巴利森苷C、巴利森苷A的含量,以六种成分含量为评价指标,以米汤与水体积比、煮制时间、干燥温度为单因素变量,在单因素的基础上,通过三个指标综合考虑,设计正交试验,优化米汤制天麻的制备工艺,并比较6种成分在不同炮制品中的含量。脂多糖诱导的神经炎症细胞模型,CCK-8法测定天麻炮制品提取物对BV2细胞存活率的影响;ELISA法检测细胞培养上清液中TNF-α、IL-6、IL-1β的释放水平;Western blot法检测TLR4、MYD88、P65、INOS、COX-2、IL-1β蛋白的表达变化。结果表明,煮制时间和米汤与水体积比对试验结果有显著(P<0.05)影响,米汤制天麻的炮制工艺:米汤与水体积比为1:3,煮制25 min,75 ℃烘干。米汤制品中6种成分含量综合评分高于蒸制制品。天麻提取物对LPS诱导BV2细胞损伤具有不同程度的保护作用。与正常对照组比较,LPS组TNF-α、IL-1β、IL-6的分泌显著上升(P <0.001),与LPS组,两种炮制品均可抑制TNF-αP<0.05)、IL-1βP<0.05,P<0.001)、IL-6(P<0.05,P<0.001)的释放。Western blot结果显示,与LPS组比较,两种炮制品可能显著抑制LPS诱导的TLR4/MYD88/NF-κB信号通路的激活,减少TLR4(P<0.01)、MYD88(P<0.01,P<0.05)、P65(P<0.01)、INOS(P<0.05)、COX-2(P<0.05,P<0.001)、IL-1βP<0.001)蛋白的表达。优选的米汤制天麻工艺操作简便,稳定可行;天麻炮制品可能通过抑制TLR4/MYD88/NF-κB信号通路,而降低炎症因子的表达。

     

    Abstract: To optimize the processing technology of Gastrodia elata by water in which millet had been cooked and investigate the effects of LPS-induced microglia (BV2) inflammatory responses. Determination of gastrodin, p-hydroxybenzyl alcohol, parishin A, parishin B, parishin C, parishin E in the extract of Gastrodia elata by high-performance liquid chromatography (HPLC), and the content of six components were used as evaluation index, the volume ratio of water in which millet had been cooked to water, cooking time and drying temperature were selected as single factor variables. The designation of orthogonal test was based on single factor on three indicators, then optimization of the preparation technology. Comparison of the content of six components in different processed product. The neuroinflammatory cell model was induced by LPS and the cell viability was evaluated after treatment with the extract of processed products by a Cell Counting kit 8 (CCK-8) assay. The levels of TNF-α, IL-6, IL-1β in the cell culture medium were measured with ELISA kits. The protein expressions of TLR4, MYD88, P65, INOS, COX-2, IL-1β in LPS-induced BV2 cells were detected by Western blot. The results showed that the cooking time and the volume ratio of water in which millet had been cooked to water had a significant effect on the test results. The water in which millet had been cooked of Gastrodia elata processing technology: The ratio of the volume water in which millet had been cooked to water was 1:3, the boiling time was 25 min and the temperature of drying was 75 ℃. The comprehensive score of the six components in processing with water in which millet had been cooked products was higher than that of steamed products. The extract of Gastrodia elata had exhibited varying degrees of protective activity on LPS-induced BV2 cells. The results showed that the secretion of TNF-α, IL-6, IL-1β was significantly increased in BV2 microglial cells induced by LPS compared with the normal control group (P<0.001). Compared with the LPS group, the two extract of Gastrodia elata significantly decreased the expression level of TNF-α (P<0.05), IL-6 (P<0.05, P<0.001), IL-1β (P<0.05, P<0.001) in LPS-induced BV2 microglial cells. The result of Western blot showed that PZH significantly inhibited the LPS-induced TLR4/MYD88/NF-κB signaling pathway activation, and decreased the protein expressions of TLR4 (P<0.01), MYD88 (P<0.01, P<0.05), P65 (P<0.01), INOS (P<0.05), COX-2 (P<0.05, P<0.001), IL-1β (P<0.001). The optimized processing technique is simple, stable and feasible. The mechanism of processed drugs of Gastrodia elata may reduce inflammatory factor expression by inhibiting the TLR4/MYD88/NF-κB signaling pathway.

     

/

返回文章
返回