• 中国科技期刊卓越行动计划项目资助期刊
  • 中国精品科技期刊
  • 首都科技期刊卓越行动计划
  • EI
  • Scopus
  • CAB Abstracts
  • Global Health
  • 北大核心期刊
  • DOAJ
  • EBSCO
  • 中国核心学术期刊RCCSE A+
  • 中国科技核心期刊CSTPCD
  • JST China
  • FSTA
  • 中国农林核心期刊
  • 中国开放获取期刊数据库COAJ
  • CA
  • WJCI
  • 食品科学与工程领域高质量科技期刊分级目录第一方阵T1
中国精品科技期刊2020
罗景阳,李娇,关健,等. QuEChERS-高效液相色谱三重四级杆线性离子阱串联质谱法测定蔬菜中34种杀虫剂残留J. 食品工业科技,2024,45(17):302−315. doi: 10.13386/j.issn1002-0306.2023090172.
引用本文: 罗景阳,李娇,关健,等. QuEChERS-高效液相色谱三重四级杆线性离子阱串联质谱法测定蔬菜中34种杀虫剂残留J. 食品工业科技,2024,45(17):302−315. doi: 10.13386/j.issn1002-0306.2023090172.
LUO Jingyang, LI Jiao, GUAN Jian, et al. Determination of 34 Insecticide Residues in Vegetables by QuEChERS-High-Performance Liquid Chromatography Triple Quadrupole Linear Ion Trap Tandem Mass SpectrometryJ. Science and Technology of Food Industry, 2024, 45(17): 302−315. (in Chinese with English abstract). doi: 10.13386/j.issn1002-0306.2023090172.
Citation: LUO Jingyang, LI Jiao, GUAN Jian, et al. Determination of 34 Insecticide Residues in Vegetables by QuEChERS-High-Performance Liquid Chromatography Triple Quadrupole Linear Ion Trap Tandem Mass SpectrometryJ. Science and Technology of Food Industry, 2024, 45(17): 302−315. (in Chinese with English abstract). doi: 10.13386/j.issn1002-0306.2023090172.

QuEChERS-高效液相色谱三重四级杆线性离子阱串联质谱法测定蔬菜中34种杀虫剂残留

Determination of 34 Insecticide Residues in Vegetables by QuEChERS-High-Performance Liquid Chromatography Triple Quadrupole Linear Ion Trap Tandem Mass Spectrometry

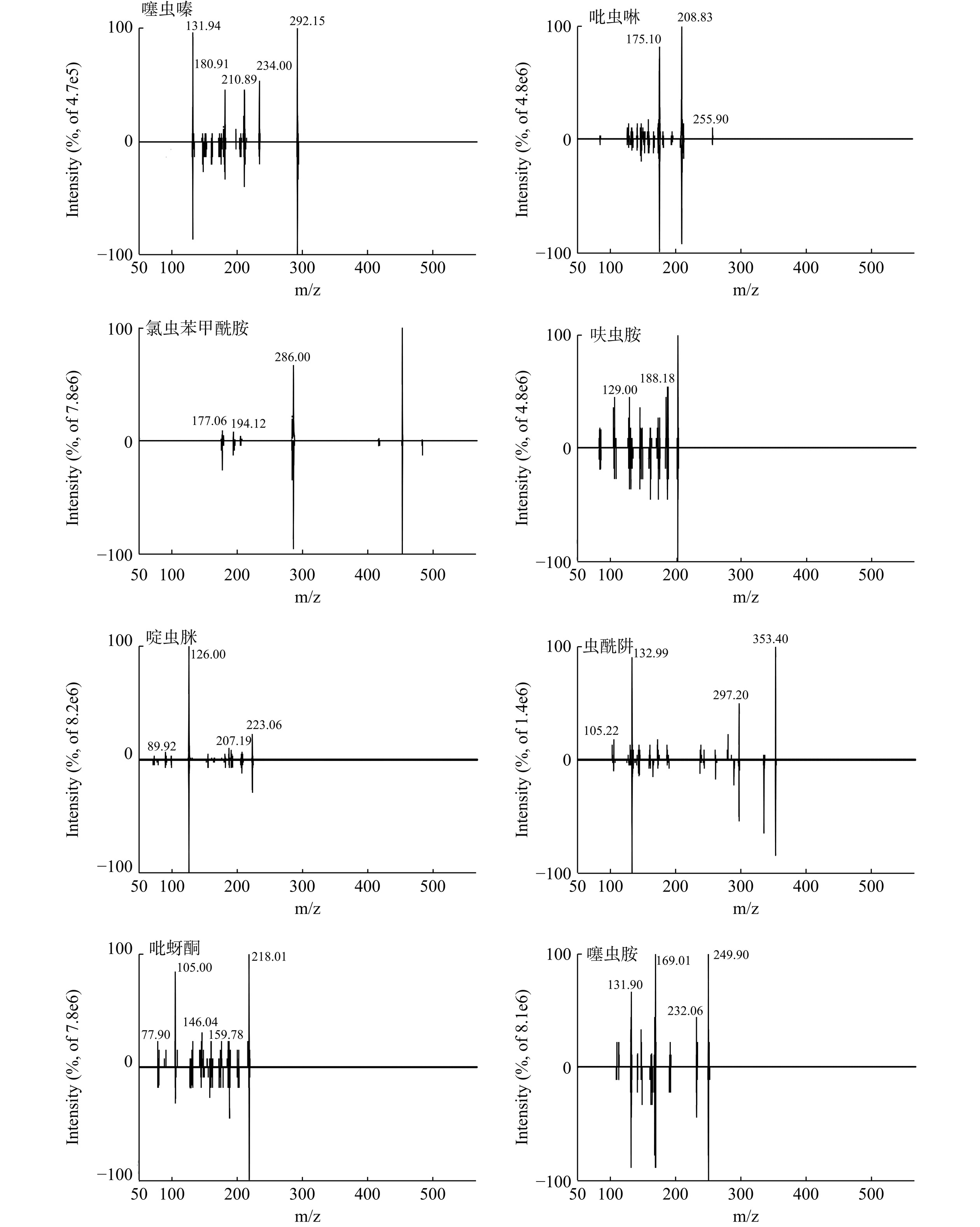
  • 摘要: 本文通过QuEChERS净化方法结合高效液相色谱三重四级杆线性离子阱串联质谱建立蔬菜中34种杀虫剂的快速检测方法。样品通过乙腈(含1%乙酸)、1.5 g醋酸钠、4 g无水硫酸镁、1 g氯化钠进行溶剂萃取,再通过20 mg石墨化碳黑(GCB)、300 mg乙二胺-N-丙基硅烷化硅胶(PSA)、200 mg十八烷基硅烷键合硅胶(C18)和1000 mg无水硫酸镁净化处理,选择乙腈-水为流动相,采用多反应监测-信息依赖性获取-增强型子离子扫描(MRM-IDA-EPI)模式对样品进行检测,并建立EPI数据谱库。检测结果通过保留时间、离子对峰度比及数据库EPI谱图进行对比定性,采用基质匹配外标法定量。研究结果表明,以茄子、韭菜、豇豆、菠菜为基质代表,34种杀虫剂线性关系良好,R2≥0.99011,检出限为0.16~1.81 μg/kg,定量限为0.52~6.02 μg/kg,样品的加标回收率为73.51%~118.77%,精密度为0.01%~14.27%,并对蔬菜样品进行检测,噻虫胺检出率达58.23%。该方法具有检测快速有效、操作简便、数据准确、灵敏度高等特点,适合用于蔬菜中34种杀虫剂的检测。

     

    Abstract: This article established a rapid detection method for 34 pesticides in vegetables by combining QuEChERS purification method with high-performance liquid chromatography triple quadrupole linear ion trap tandem mass spectrometry. The samples were extracted with acetonitrile (containing 1% acetic acid), 1.5 g sodium acetate, 4 g anhydrous magnesium sulfate, and 1 g sodium chloride. The extract was further purified using 20 mg graphitized carbon black (GCB), 300 mg primary secondary amine (PSA), 200 mg octadecylsilane chemically bonded silica (C18), and 1000 mg MgSO4. Acetonitrile-water was chosen as mobile phase. The samples were analyzed using MRM-IDA-EPI mode, and an EPI database was established. Qualitative analysis was performed based on retention time, ion pair peak ratio, and EPI database, and quantification was carried out using matrix-matched external standard method. The study results indicated that using eggplant, garlic chives, cowpea, and spinach as representative matrices, the 34 pesticides showed good linear correlation with R2≥0.99011. The detection limits ranged from 0.16 to 1.81 μg/kg, and the quantification limits ranged from 0.52 to 6.02 μg/kg. The spiked recoveries of the samples were between 73.51% and 118.77%, and the precision was in the range of 0.01% to 14.27%. Vegetable samples were tested, with a detection rate of 58.23% for thiamethoxam. This method was characterized by its rapid and effective detection, simple operation, accurate data, and high sensitivity, making it suitable for the detection of 34 pesticides in vegetables.

     

/

返回文章
返回