Abstract:
This study aimed to investigate the effects of Changbaishan
Ganoderma lucidum seed body polysaccharide beverage on the glucose and lipid metabolism of diabetic mice. High-fat diet combined with intraperitoneal injection of streptozotocin was used to establish a diabetic mouse model. A normal control group and a model control group were also set up. Metformin hydrochloride was used as a positive control.
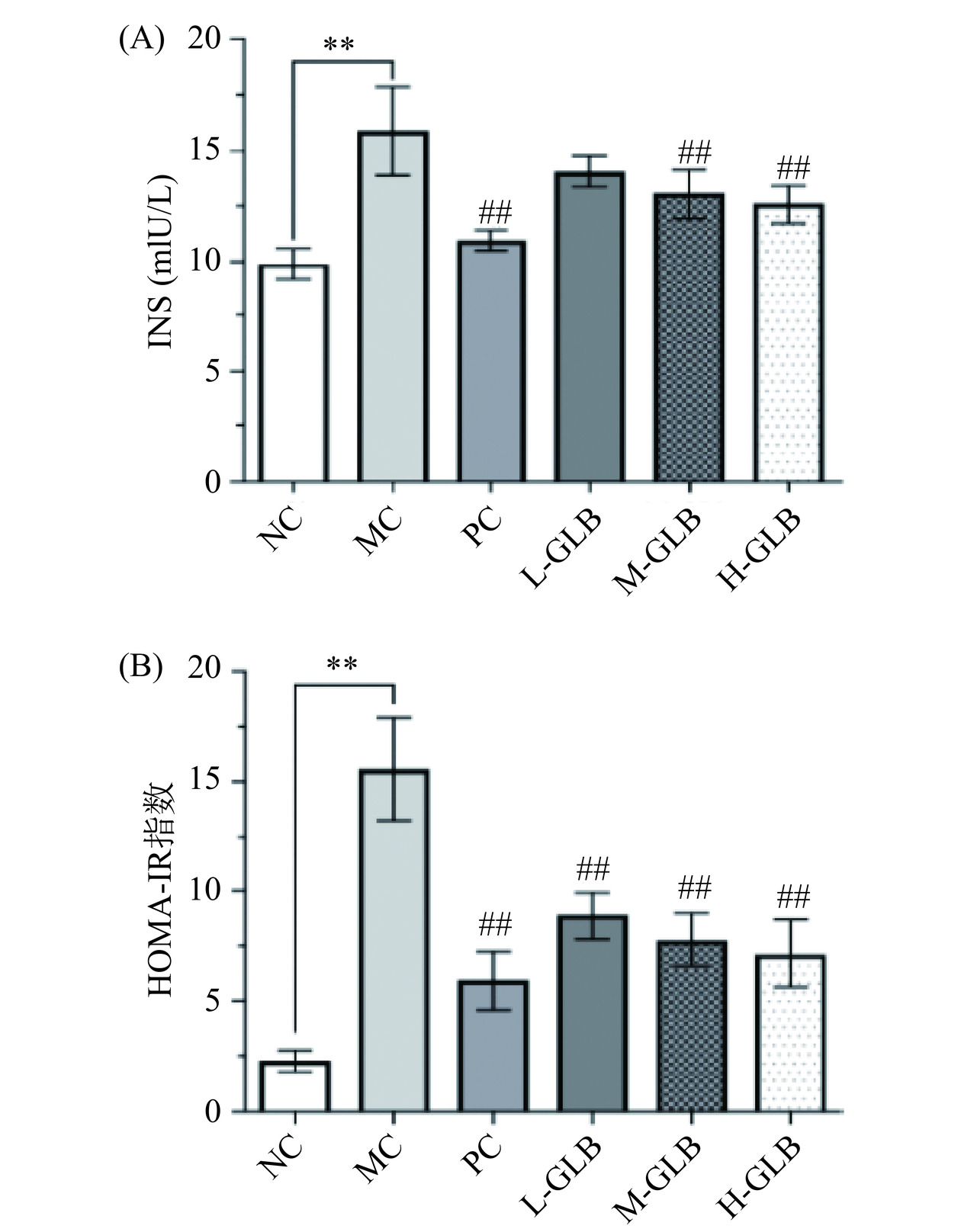
G. lucidum polysaccharide beverage was administered at different doses of low (L-GLB), medium (M-GLB), and high (H-GLB) to investigate its improvement effects on the glucose and lipid metabolism of diabetic mice. Fasting blood glucose, insulin resistance index, triglyceride, high- and low-density lipoprotein cholesterol, superoxide dismutase activity, and malondialdehyde were measured in the mice after receiving the
G. lucidum polysaccharide beverage. Compared with those of the model group, the fasting blood glucose levels of the mice in the L-GLB, M-GLB, and H-GLB groups decreased by 35.46%, 39.05%, and 42.28%, respectively, and their homeostatic model assessment of insulin resistance decreased by 43.10%, 50.25%, and 54.18%, respectively (
P<0.01). The triglyceride levels and LDL cholesterol of the mice in the high-dose group decreased by 46.83% and 50.79%, respectively, and their HDL cholesterol increased by 107.81%.
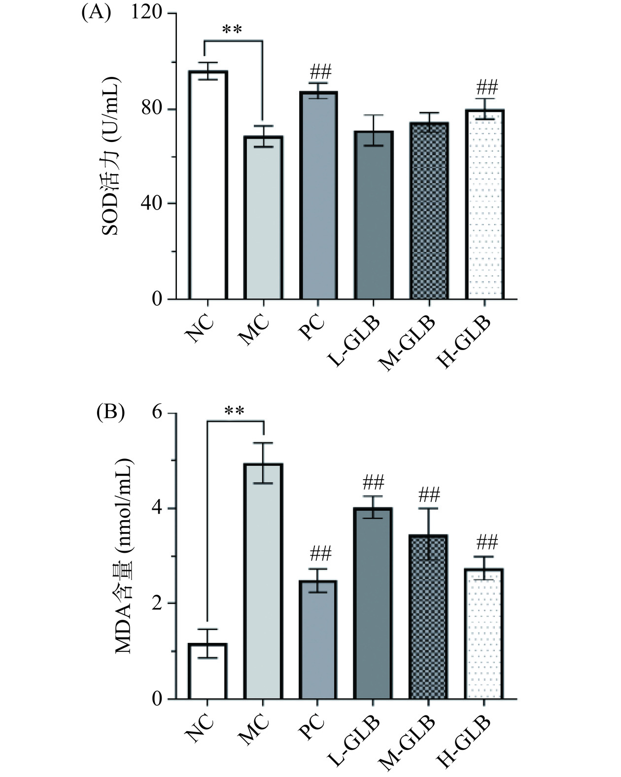
G. lucidum polysaccharide beverage improved the superoxide dismutase activity in the serum of diabetic mice and significantly reduced the malondialdehyde content (
P<0.01) by 18.66%, 30.15%, and 44.54% in the L-GLB, M-GLB, and H-GLB groups, respectively. Therefore,
G. lucidum polysaccharide beverage can relieve diabetes-induced oxidative stress and organ enlargement, protect the liver, kidney and spleen of diabetic mice, and improve the liver damage caused by long-term hyperglycemia to a certain extent.