• 中国科技期刊卓越行动计划项目资助期刊
  • 中国精品科技期刊
  • 首都科技期刊卓越行动计划
  • EI
  • Scopus
  • CAB Abstracts
  • Global Health
  • 北大核心期刊
  • DOAJ
  • EBSCO
  • 中国核心学术期刊RCCSE A+
  • 中国科技核心期刊CSTPCD
  • JST China
  • FSTA
  • 中国农林核心期刊
  • 中国开放获取期刊数据库COAJ
  • CA
  • WJCI
  • 食品科学与工程领域高质量科技期刊分级目录第一方阵T1
中国精品科技期刊2020
陆少君,蔡肇栩,郭瑞雪,等. 基于TLR-4/NF-κB信号通路探究金花茶提取物对非酒精性脂肪肝的作用J. 食品工业科技,2024,45(20):349−360. doi: 10.13386/j.issn1002-0306.2023120249.
引用本文: 陆少君,蔡肇栩,郭瑞雪,等. 基于TLR-4/NF-κB信号通路探究金花茶提取物对非酒精性脂肪肝的作用J. 食品工业科技,2024,45(20):349−360. doi: 10.13386/j.issn1002-0306.2023120249.
LU Shaojun, CAI Zhaoxu, GUO Ruixue, et al. Investigating the Effects of Camellia petelotii Chi Extract on Nonalcoholic Fatty Liver Disease Based on TLR-4/NF-κB Signaling PathwayJ. Science and Technology of Food Industry, 2024, 45(20): 349−360. (in Chinese with English abstract). doi: 10.13386/j.issn1002-0306.2023120249.
Citation: LU Shaojun, CAI Zhaoxu, GUO Ruixue, et al. Investigating the Effects of Camellia petelotii Chi Extract on Nonalcoholic Fatty Liver Disease Based on TLR-4/NF-κB Signaling PathwayJ. Science and Technology of Food Industry, 2024, 45(20): 349−360. (in Chinese with English abstract). doi: 10.13386/j.issn1002-0306.2023120249.

基于TLR-4/NF-κB信号通路探究金花茶提取物对非酒精性脂肪肝的作用

Investigating the Effects of Camellia petelotii Chi Extract on Nonalcoholic Fatty Liver Disease Based on TLR-4/NF-κB Signaling Pathway

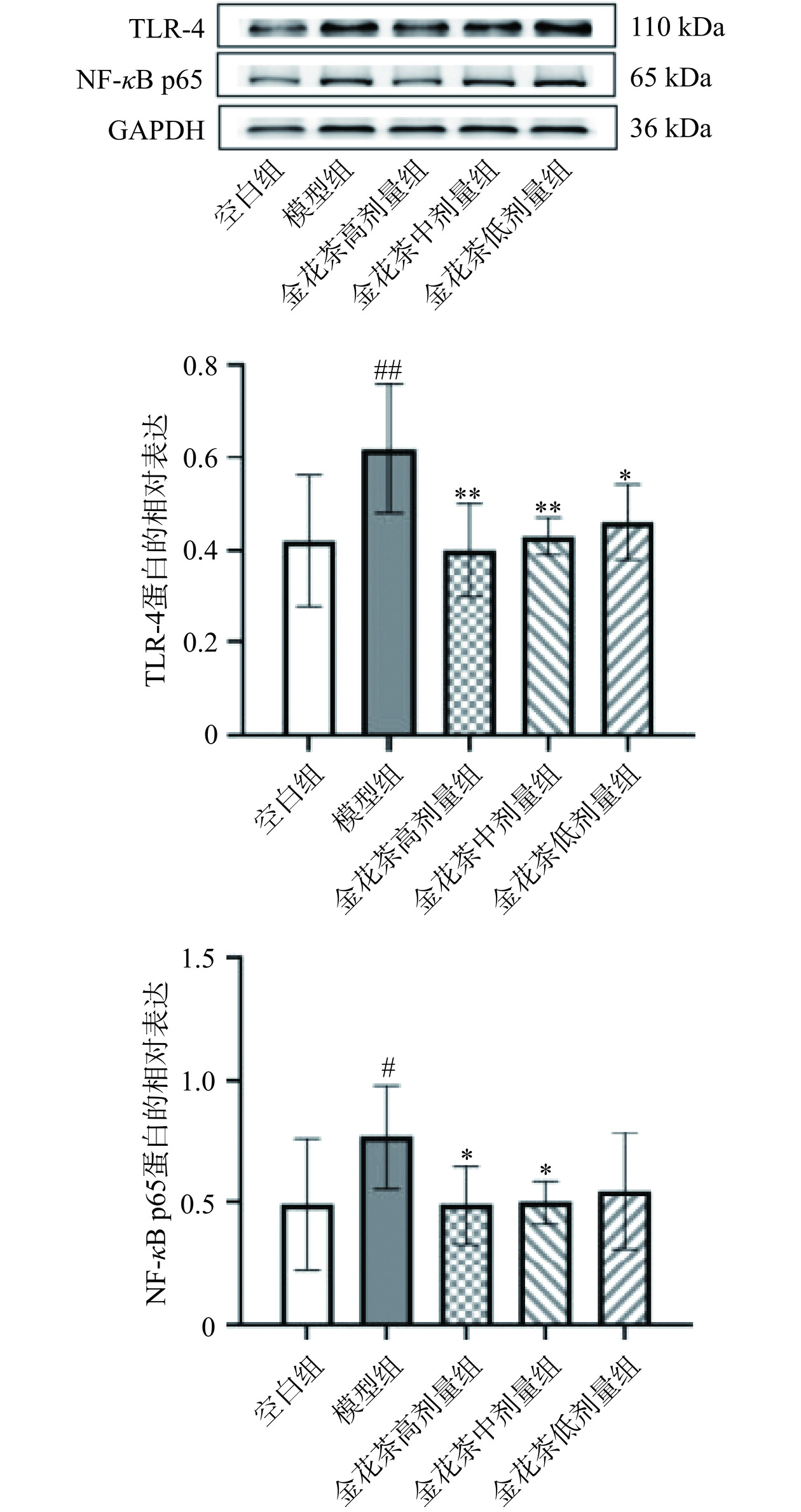
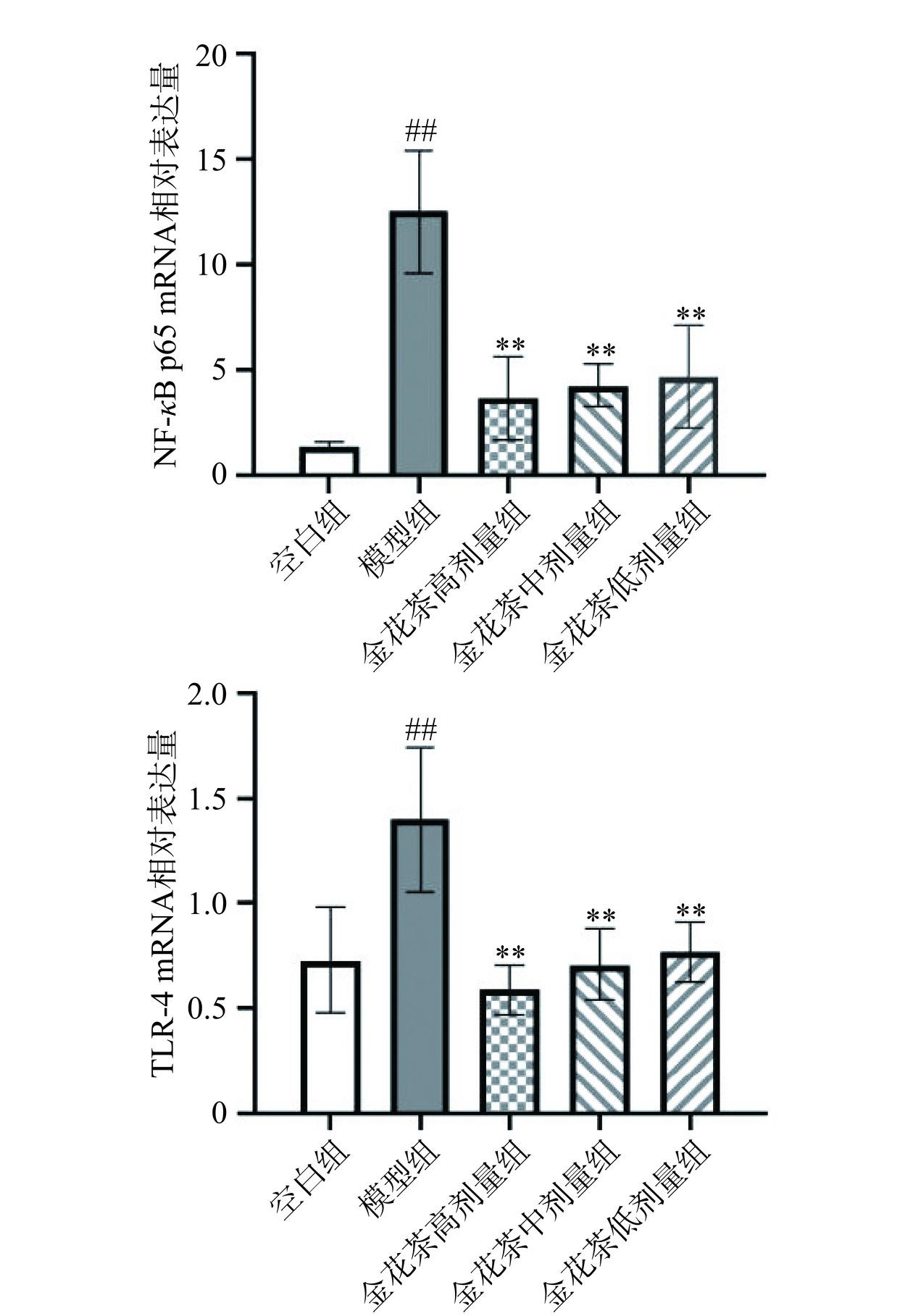
  • 摘要: 探讨金花茶提取物对非酒精性脂肪肝病(NAFLD)大鼠模型的改善作用及其机制。随机选取10只SD大鼠为空白组,剩余50只则灌服高糖高脂乳剂复制非酒精性脂肪肝模型,14 d后造模大鼠按血清中总胆固醇(TC)水平随机分为模型组、辛伐他汀组(8 mg/kg)及金花茶高、中、低剂量组(260、130、65 mg/kg)。分组后连续给药6周,于末次给药前进行口服葡萄糖耐量试验(OGTT)并计算血糖曲线下面积(AUC),末次给药后采集血清及肝组织,检测血脂指标总胆固醇(TC)、三酰甘油(TG)、高密度脂蛋白(HDL-C)、低密度脂蛋白(LDL-C)及游离脂肪酸(FFA),肝脂指标TC及TG,肝功能指标谷丙转氨酶(ALT)及谷草转氨酶(AST),肝脏脂质过氧化指标丙二醛(MDA)及超氧化物歧化酶(SOD);测定大鼠血清炎症因子指标白介素6(IL-6)、白介素8(IL-8)及肿瘤坏死因子(TNF-α);检测血清胰岛素(FINS)并计算胰岛素抵抗指数(HOMA-IR);HE染色法观察肝脏病理形态学变化并进行非酒精性脂肪肝病活动度积分(NAS)评分;测定肝组织中Toll样受体4(TLR-4)和核因子κB(NF-κB)的基因及蛋白的表达。结果表明:与模型组相比,金花茶药物组AUC、HOMA-IR及血清中FINS、TG、TC、LDL-C、FFA、ALT、AST、IL-6、IL-8、TNF水平显著降低(P<0.05),HDL-C水平明显升高(P<0.05);肝组织TG、TC、MDA中含量显著降低(P<0.05),SOD活性显著升高(P<0.05);肝脏脂肪肝病样变减轻,肝细胞形态异常及炎症浸润明显改善,NAS评分显著下降(P<0.05);TLR-4、NF-κB蛋白及mRNA表达降低,差异均有统计学意义(P<0.05),其中以金花茶高剂量的改善效果最佳。综上所述,金花茶提取物可通过TLR-4/NF-κB信号通路来调节糖脂代谢紊乱,降低炎症反应和减轻炎症浸润,改善NAFLD大鼠肝脏病变。

     

    Abstract: To examine the effects and mechanisms of Camellia petelotii Chi extract on the rat model of non-alcoholic fatty liver disease (NAFLD), a set of ten SD rats was randomly chosen as the blank group, while the remaining 50 rats were given a high-sugar, high-fat emulsion to develop the model of non-alcoholic fatty liver disease. After 14 days, the rats were separated into different groups based on their serum total cholesterol (TC) levels. These groups included the model group, the simvastatin group (8 mg/kg), and the Camellia petelotii Chi high, medium, and low dose groups (260, 130, 65 mg/kg). The medication was administered continuously for 6 weeks. Before the last administration, an oral glucose tolerance test (OGTT) was performed, and the area under the blood glucose curve (AUC) was calculated. Both serum and liver tissues were collected to examine the concentrations of total cholesterol (TC), triacylglycerol (TG), high-density lipoprotein (HDL-C), low-density lipoprotein (LDL-C), and free fatty acid (FFA). In addition, TC and TG were measured to evaluate the amount of lipids in the liver, while glutamic-pyruvic transaminase (ALT) and glutamic oxaloacetic transaminase (AST) were examined to assess liver function. The levels of malondialdehyde (MDA) was measured to evaluate the extent of lipid peroxidation in the liver, while the activity of superoxide dismutase (SOD) was also evaluated. Serum inflammatory factors interleukin 6 (IL-6), interleukin 8 (IL-8), and tumor necrosis factor (TNF-α) were determined in rats. Serum insulin (FINS) was measured and the insulin resistance index (HOMA-IR) was calculated. The HE staining technique was employed to examine the pathomorphological alterations in the liver and determine the non-alcoholic fatty liver disease activity score (NAS). The gene and protein expression of Toll-like receptor 4 (TLR-4) and nuclear factor κB (NF-κB) were determined in liver tissue. The results showed that compared with the model group, AUC, HOMA-IR and serum levels of FINS, TG, TC, LDL-C, FFA, ALT, AST, IL-6, IL-8, TNF were significantly lower (P<0.05), and HDL-C levels was significantly higher in the Camellia petelotii Chi groups (P<0.05). The content of TG, TC and MDA in liver were significantly reduced (P<0.05), and the SOD activity was significantly increased (P<0.05). There was a significant improvement in the condition of hepatic steatosis, abnormal hepatocyte shape, and inflammatory infiltration, leading to a noticeable decrease in the NAS score. The protein and mRNA levels of TLR-4 and NF-κB were exhibited a substantial decrease (P<0.05). The high dose of Camellia petelotii Chi had the best improvement effect among these groups. In conclusion, Camellia petelotii Chi extract would improve liver damage in NAFLD rats by regulating glucose and lipid metabolism, and reducing inflammatory reaction and inflammatory infiltration through the TLR-4/NF-κB signaling pathway.

     

/

返回文章
返回