• 中国科技期刊卓越行动计划项目资助期刊
  • 中国精品科技期刊
  • EI
  • Scopus
  • CAB Abstracts
  • Global Health
  • 北大核心期刊
  • DOAJ
  • EBSCO
  • 中国核心学术期刊RCCSE A+
  • 中国科技核心期刊CSTPCD
  • JST China
  • FSTA
  • 中国农林核心期刊
  • 中国开放获取期刊数据库COAJ
  • CA
  • WJCI
  • 食品科学与工程领域高质量科技期刊分级目录第一方阵T1
中国精品科技期刊2020
欧阳丹,张超,杨莹,等. 6种组合酶法制备羊栖菜多糖的理化性质及其抗氧化活性J. 食品工业科技,2024,45(23):248−257. doi: 10.13386/j.issn1002-0306.2023120014.
引用本文: 欧阳丹,张超,杨莹,等. 6种组合酶法制备羊栖菜多糖的理化性质及其抗氧化活性J. 食品工业科技,2024,45(23):248−257. doi: 10.13386/j.issn1002-0306.2023120014.
OUYANG Dan, ZHANG Chao, YANG Ying, et al. Physicochemical Properties and Antioxidant Activity of Polysaccharides from Sargassum fusiforme Prepared by Six Combined Enzymatic MethodsJ. Science and Technology of Food Industry, 2024, 45(23): 248−257. (in Chinese with English abstract). doi: 10.13386/j.issn1002-0306.2023120014.
Citation: OUYANG Dan, ZHANG Chao, YANG Ying, et al. Physicochemical Properties and Antioxidant Activity of Polysaccharides from Sargassum fusiforme Prepared by Six Combined Enzymatic MethodsJ. Science and Technology of Food Industry, 2024, 45(23): 248−257. (in Chinese with English abstract). doi: 10.13386/j.issn1002-0306.2023120014.

6种组合酶法制备羊栖菜多糖的理化性质及其抗氧化活性

Physicochemical Properties and Antioxidant Activity of Polysaccharides from Sargassum fusiforme Prepared by Six Combined Enzymatic Methods

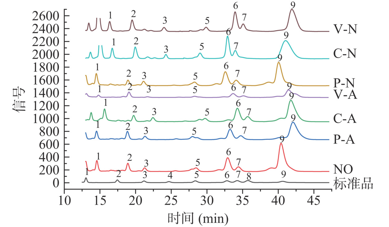
  • 摘要: 目的:探究不同组合酶制备的羊栖菜多糖的理化性质及功能变化。方法:应用纤维素酶-碱性蛋白酶(C-A)、果胶酶-碱性蛋白酶(P-A)、黏酶-碱性蛋白酶(V-A)、纤维素酶-中性蛋白酶(C-N)、果胶酶-中性蛋白酶(P-N)、黏酶-中性蛋白酶(V-N)6种组合酶对羊栖菜多糖进行辅助提取,分析6种组合酶制备的羊栖菜多糖的理化性质、结构组成和体内外抗氧化活性。结果:不同组合酶制备的羊栖菜多糖的总糖、糖醛酸、硫酸根等含量变化较大,单糖组成和化学结构相似,其中C-N组的总糖含量及多糖得率最高。V-N组的多糖Fe2+还原力和DPPH自由基清除能力最高,分别达到0.103±0.003(Abs)和0.540±0.022(mg/mL)(IC50),P-N组的多糖羟自由基清除能力最高,达到1.341±0.265(mg/mL)(IC50)。不同组合酶制备的羊栖菜多糖对AAPH(偶氮二异丁脒盐酸盐)诱导的氧化应激起到不同的保护作用,其中,与NO组相比,P-A、C-A、V-A和P-N组的多糖具有更强的降活性氧水平,P-A、P-N、V-N组的多糖具有显著的脂质过氧化抑制作用,与诱导组相比,C-N和V-N组的多糖显著提高CAT酶活性(P<0.01),P-A和C-N组的多糖显著提高T-SOD酶活性(P<0.01),P-A和V-N组的多糖显著降低MDA含量(P<0.01),P-A、P-N组的多糖能使gpx1bNF-κB基因表达显著上调(P<0.01)。结论:不同组合酶制备的羊栖菜多糖的理化性质有所改变,但结构组成不变,不同组合酶处理能不同程度改善多糖的抗氧化活性。本研究为定向开发羊栖菜功能多糖提供了参考。

     

    Abstract: Objective: To investigate the physicochemical properties and functional changes of the polysaccharides prepared from Sargassum fusiforme by different combinations of enzymes. Methods: Six enzyme combinations of cellulase-alcalase (C-A), pectinase-alcalase (P-A), viscozyme-alcalase (V-A), cellulase-neutrase (C-N), pectinase-neutrase (P-N), and viscozyme-neutrase (V-N) were used to assist the extraction of polysaccharides from Sargassum fusiforme. The physicochemical properties, structural composition, and antioxidant activity in vitro and in vivo of Sargassum fusiforme polysaccharides prepared by six combined enzymes were analyzed. Results: The contents of total sugar, uronic acid and sulfate in the polysaccharides prepared by the six combined enzymes changed greatly, and the monosaccharide composition and chemical structure were similar. The total sugar content and polysaccharide yield of the C-N group were the highest. The reducing power of Fe2+ and DPPH radical scavenging capacity of polysaccharides were the highest in the V-N group, amounting to 0.103±0.003 (Abs) and 0.540±0.022 (mg/mL) (IC50), respectively, and in the P-N group, the hydroxyl radical scavenging capacity of polysaccharides was the highest at 1.341±0.265 (mg/mL) (IC50). The polysaccharides prepared by different combined enzymes had different protective effects on AAPH-induced oxidative stress. Among them, compared with the NO group, the polysaccharides in the P-A, C-A, V-A and P-N groups had a stronger ability to reduce reactive oxygen species. The polysaccharides in the P-A, P-N and V-N groups had significant lipid peroxidation inhibition. Compared with the induction group, the polysaccharides in the C-N and V-N groups significantly increased CAT enzyme activity (P<0.01), and the polysaccharides in the P-A and C-N groups significantly increased T-SOD enzyme activity (P<0.01). The polysaccharides in the P-A and V-N groups had the best ability to reduce MDA content (P<0.01). The polysaccharides in the P-A and P-N groups could significantly up-regulate the expression of gpx1b and NF-κB genes (P<0.01). Conclusion: The physicochemical properties of Sargassum fusiforme polysaccharides prepared by different combined enzymes changed, but the structural composition remained unchanged, and their antioxidant activities in vitro and in vivo were improved to varying degrees. This study provides a reference for the directional development of functional polysaccharides from Sargassum fusiforme.

     

/

返回文章
返回