• 中国科技期刊卓越行动计划项目资助期刊
  • 中国精品科技期刊
  • EI
  • Scopus
  • CAB Abstracts
  • Global Health
  • 北大核心期刊
  • DOAJ
  • EBSCO
  • 中国核心学术期刊RCCSE A+
  • 中国科技核心期刊CSTPCD
  • JST China
  • FSTA
  • 中国农林核心期刊
  • 中国开放获取期刊数据库COAJ
  • CA
  • WJCI
  • 食品科学与工程领域高质量科技期刊分级目录第一方阵T1
中国精品科技期刊2020
沙小梅,张丽君,蒋文丽,等. 高效液相色谱-高分辨率质谱联用技术鉴定阿胶块中不同胶类的特征性多肽J. 食品工业科技,2022,43(4):97−104. doi: 10.13386/j.issn1002-0306.2021060180.
引用本文: 沙小梅,张丽君,蒋文丽,等. 高效液相色谱-高分辨率质谱联用技术鉴定阿胶块中不同胶类的特征性多肽J. 食品工业科技,2022,43(4):97−104. doi: 10.13386/j.issn1002-0306.2021060180.
SHA Xiaomei, ZHANG Lijun, JIANG Wenli, et al. Identification of Characteristic Peptides of Different Gelatins in Donkey-hide Gelatin Lump by High Performance Liquid Chromatography-High Resolution Mass SpectrometryJ. Science and Technology of Food Industry, 2022, 43(4): 97−104. (in Chinese with English abstract). doi: 10.13386/j.issn1002-0306.2021060180.
Citation: SHA Xiaomei, ZHANG Lijun, JIANG Wenli, et al. Identification of Characteristic Peptides of Different Gelatins in Donkey-hide Gelatin Lump by High Performance Liquid Chromatography-High Resolution Mass SpectrometryJ. Science and Technology of Food Industry, 2022, 43(4): 97−104. (in Chinese with English abstract). doi: 10.13386/j.issn1002-0306.2021060180.

高效液相色谱-高分辨率质谱联用技术鉴定阿胶块中不同胶类的特征性多肽

Identification of Characteristic Peptides of Different Gelatins in Donkey-hide Gelatin Lump by High Performance Liquid Chromatography-High Resolution Mass Spectrometry

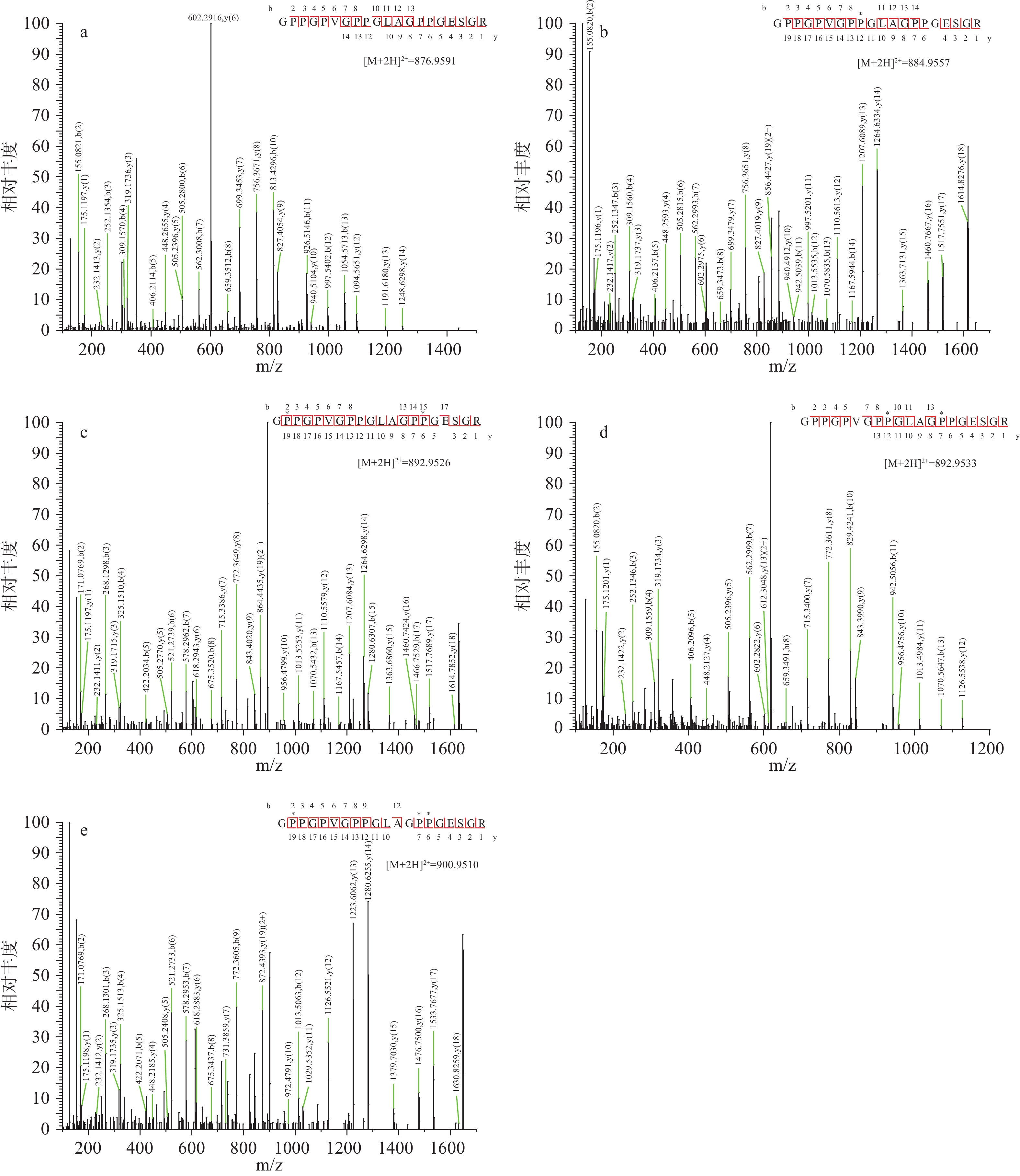
  • 摘要: 为研究阿胶块中不同明胶的来源,本文以4种品牌的阿胶块为原料,向其中分别加入低含量(1 mg/mL)的牛明胶和猪明胶,采用高效液相色谱-质谱联用技术(high-performance liquid chromatography-mass spectrometry,HPLC-MS/MS)分别鉴定阿胶、牛明胶和猪明胶的特征性多肽。结果表明,在4种阿胶块中准确检测出阿胶、牛明胶和猪明胶的共有特征性多肽数量分别为18、3和5个,其中来自α1链的特征性多肽有10、1和1个,来自α2链的则有8、2和4个;同时,有羟基化修饰脯氨酸的共有特征性多肽数量分别为15、2和4个,不包含任何修饰基团的特征性多肽对应则有3、1和1个。这些共有的特征性多肽可为HPLC-MS/MS溯源鉴定阿胶块中的明胶源提供依据,对阿胶块产品的质量保障具有一定的参考意义。

     

    Abstract: To study the source of different gelatins of donkey-hide gelatin lumps, four kinds of donkey-hide gelatin lumps were added with low content (1 mg/mL) of bovine gelatin and porcine gelatin respectively. High-performance liquid chromatography-mass spectrometry (HPLC-MS/MS) were chosen to identify the characteristic peptides of donkey-hide gelatin, bovine gelatin and porcine gelatin. The results showed that 18, 3 and 5 common characteristic peptides were accurately detected in the four kinds of donkey-hide gelatin lump for donkey-hide gelatin, bovine gelatin and porcine gelatin, respectively, with 10, 1 and 1 from the α1 chain and 8, 2 and 4 from the α2 chain. Meanwhile, the number of common characteristic peptides with hydroxylated modifications was 15, 2 and 4 respectively, while those without any modification groups were 3, 1 and 1. These common characteristic peptides would provide a basis for the HPLC-MS/MS traceable identification of the gelatin source in donkey-hide gelatin lump, which is of reference significance for the quality assurance of donkey-hide gelatin lump products.

     

/

返回文章
返回