• 中国科技期刊卓越行动计划项目资助期刊
  • 中国精品科技期刊
  • EI
  • Scopus
  • CAB Abstracts
  • Global Health
  • 北大核心期刊
  • DOAJ
  • EBSCO
  • 中国核心学术期刊RCCSE A+
  • 中国科技核心期刊CSTPCD
  • JST China
  • FSTA
  • 中国农林核心期刊
  • 中国开放获取期刊数据库COAJ
  • CA
  • WJCI
  • 食品科学与工程领域高质量科技期刊分级目录第一方阵T1
中国精品科技期刊2020
王静,李凤娟,张化朋,等. 甘草葛根发酵组合物对慢性肝损伤大鼠的保护作用J. 食品工业科技,2022,43(12):369−376. doi: 10.13386/j.issn1002-0306.2021110140.
引用本文: 王静,李凤娟,张化朋,等. 甘草葛根发酵组合物对慢性肝损伤大鼠的保护作用J. 食品工业科技,2022,43(12):369−376. doi: 10.13386/j.issn1002-0306.2021110140.
WANG Jing, LI Fengjuan, ZHANG Huapeng, et al. Study on Protective Effects of Glycyrrhiza and Pueraria Fermentation Composition on Rats with Chronic Liver InjuryJ. Science and Technology of Food Industry, 2022, 43(12): 369−376. (in Chinese with English abstract). doi: 10.13386/j.issn1002-0306.2021110140.
Citation: WANG Jing, LI Fengjuan, ZHANG Huapeng, et al. Study on Protective Effects of Glycyrrhiza and Pueraria Fermentation Composition on Rats with Chronic Liver InjuryJ. Science and Technology of Food Industry, 2022, 43(12): 369−376. (in Chinese with English abstract). doi: 10.13386/j.issn1002-0306.2021110140.

甘草葛根发酵组合物对慢性肝损伤大鼠的保护作用

Study on Protective Effects of Glycyrrhiza and Pueraria Fermentation Composition on Rats with Chronic Liver Injury

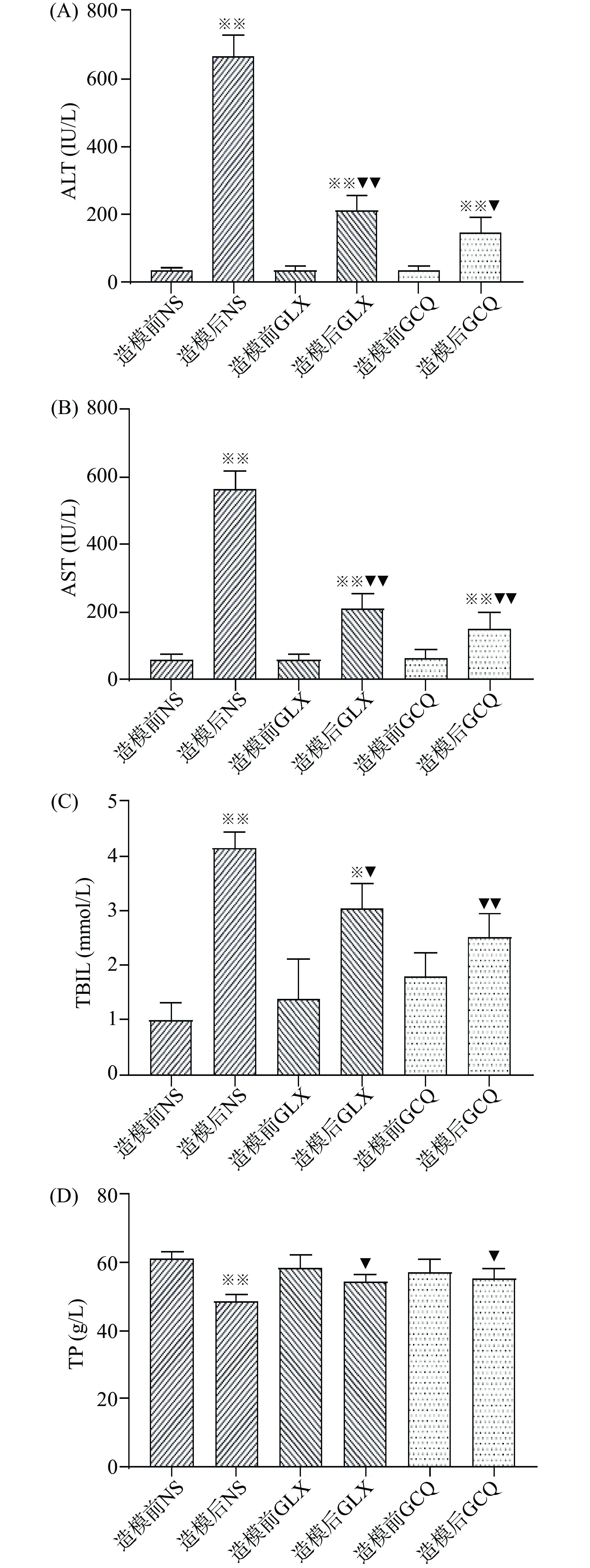
  • 摘要: 目的:研究甘草葛根发酵组合物对四氯化碳(CCl4)致慢性肝损伤大鼠的保护作用及潜在作用机制。方法:采用SD大鼠分别灌胃生理盐水、甘利欣甘草酸二铵胶囊(GLX)、甘草葛根发酵组合物,通过四氯化碳处理建立大鼠慢性肝损伤模型。采用酶联免疫吸附法检测小鼠血清中肝功能指标(ALT、AST、TBIL、TP)、肝纤指标(PLD、TGF-β、HA)、内毒素(LPS)和炎症因子(TNF-α、IL-6)的含量;通过光镜和透射电镜观察小鼠肝组织病理性改变;同时,对不同处理组进行肠道菌群的定量分析。结果:与生理盐水处理组比较,甘草葛根发酵组合物处理组小鼠血清中AST、ALT水平极显著降低(P<0.01);甘草葛根发酵组合物处理组造模前后血清中TBIL、TP水平无明显差异;肝纤维化指标结果显示,甘草葛根发酵组合物保护组TGF-β1P<0.01)、PLD(P<0.01)、HA(P<0.05)指标显著低于生理盐水处理对照组;与生理盐水处理对照组比较,甘草葛根发酵组合物处理组造模前后血清IL-6、LPS水平差异不显著,甘草葛根发酵组合物处理组极显著降低TNF-α水平(P<0.01);病理观察显示,甘草葛根发酵组合物和GLX处理组肝组织未出现明显的病理性改变;菌群分析显示,甘草葛根发酵组合物保护组EMB、EC、KV、CD数量降低,TPY、MRS增高;结论:甘草葛根发酵组合物和GLX对CCl4所致大鼠慢性肝损伤具有一定的保护作用,其中甘草葛根发酵组合物在抗慢性肝损伤过程中的肝纤维化、降低炎症和内毒素水平以及调节肠道菌群方面具有更显著的作用。

     

    Abstract: Objective: To study the protective effect and potential mechanism of glycyrrhiza and pueraria fermentation composition on chronic liver injury induced by carbon tetrachloride (CCl4). Methods: SD rats were intragastric with normal saline, Diammonium Glycyrrhizinate Capsules (GLX) and glycyrrhiza and pueraria fermentation composition, respectively, and treated with carbon tetrachloride to establish chronic liver injury model. The contents of liver function indexes (ALT, AST, TBIL, TP), liver fiber indexes (PLD, TGF-β1, HA), endotoxin and inflammatory factors (LPS, TNF-α, IL-6) in serum of mice were detected by enzyme linked immunosorbent assay. Pathological changes of liver tissue were observed by light microscope and transmission electron microscope. At the same time, the intestinal flora of different treatment groups was quantitatively analyzed. Results: Compared with normal saline treatment group, treatment group glycyrrhiza and pueraria fermentation composition mice serum AST, ALT level decreased extremely significant (P<0.01). There were no significant differences in serum TBIL and TP levels in glycyrrhiza and pueraria fermentation composition treatment group before and after modeling. The results of liver fibrosis index showed that TGF-β1 (P<0.01), PLD (P<0.01) and HA (P<0.05) in glycyrrhiza and pueraria fermentation composition protected group were significantly lower than those in normal saline control group. Compared with normal saline treatment group, there were no significant differences in serum IL-6 and LPS levels before and after modeling in glycyrrhiza and pueraria fermentation composition treatment group, while TNF-α level extremely significant decreased in glycyrrhiza and pueraria fermentation composition treatment group (P<0.01). Pathological observation showed that there were no obvious pathological changes in liver tissues in glycyrrhiza and pueraria fermentation composition and GLX treatment groups. The number of EMB, EC, KV and CD in glycyrrhiza and pueraria fermentation composition protection group decreased, while TPY and MRS increased. Conclusion: Glycyrrhiza and pueraria fermentation composition and GLX had certain protective effects on chronic liver injury induced by CCl4 in rats, and glycyrrhiza and pueraria fermentation composition had more significant effects on liver fibrosis, reducing inflammation and endotoxin levels, and regulating intestinal flora during chronic liver injury.

     

/

返回文章
返回