• 中国科技期刊卓越行动计划项目资助期刊
  • 中国精品科技期刊
  • EI
  • Scopus
  • CAB Abstracts
  • Global Health
  • 北大核心期刊
  • DOAJ
  • EBSCO
  • 中国核心学术期刊RCCSE A+
  • 中国科技核心期刊CSTPCD
  • JST China
  • FSTA
  • 中国农林核心期刊
  • 中国开放获取期刊数据库COAJ
  • CA
  • WJCI
  • 食品科学与工程领域高质量科技期刊分级目录第一方阵T1
中国精品科技期刊2020
温雪珊,蒋巧娥,王瑞琪,等. 纹党参剂量对八宝茶品质的影响J. 食品工业科技,2023,44(11):74−79. doi: 10.13386/j.issn1002-0306.2022060289.
引用本文: 温雪珊,蒋巧娥,王瑞琪,等. 纹党参剂量对八宝茶品质的影响J. 食品工业科技,2023,44(11):74−79. doi: 10.13386/j.issn1002-0306.2022060289.
WEN Xueshan, JIANG Qiaoe, WANG Ruiqi, et al. Effects of Codonopsis pilosula Dosage on Qualities of Babao TeaJ. Science and Technology of Food Industry, 2023, 44(11): 74−79. (in Chinese with English abstract). doi: 10.13386/j.issn1002-0306.2022060289.
Citation: WEN Xueshan, JIANG Qiaoe, WANG Ruiqi, et al. Effects of Codonopsis pilosula Dosage on Qualities of Babao TeaJ. Science and Technology of Food Industry, 2023, 44(11): 74−79. (in Chinese with English abstract). doi: 10.13386/j.issn1002-0306.2022060289.

纹党参剂量对八宝茶品质的影响

Effects of Codonopsis pilosula Dosage on Qualities of Babao Tea

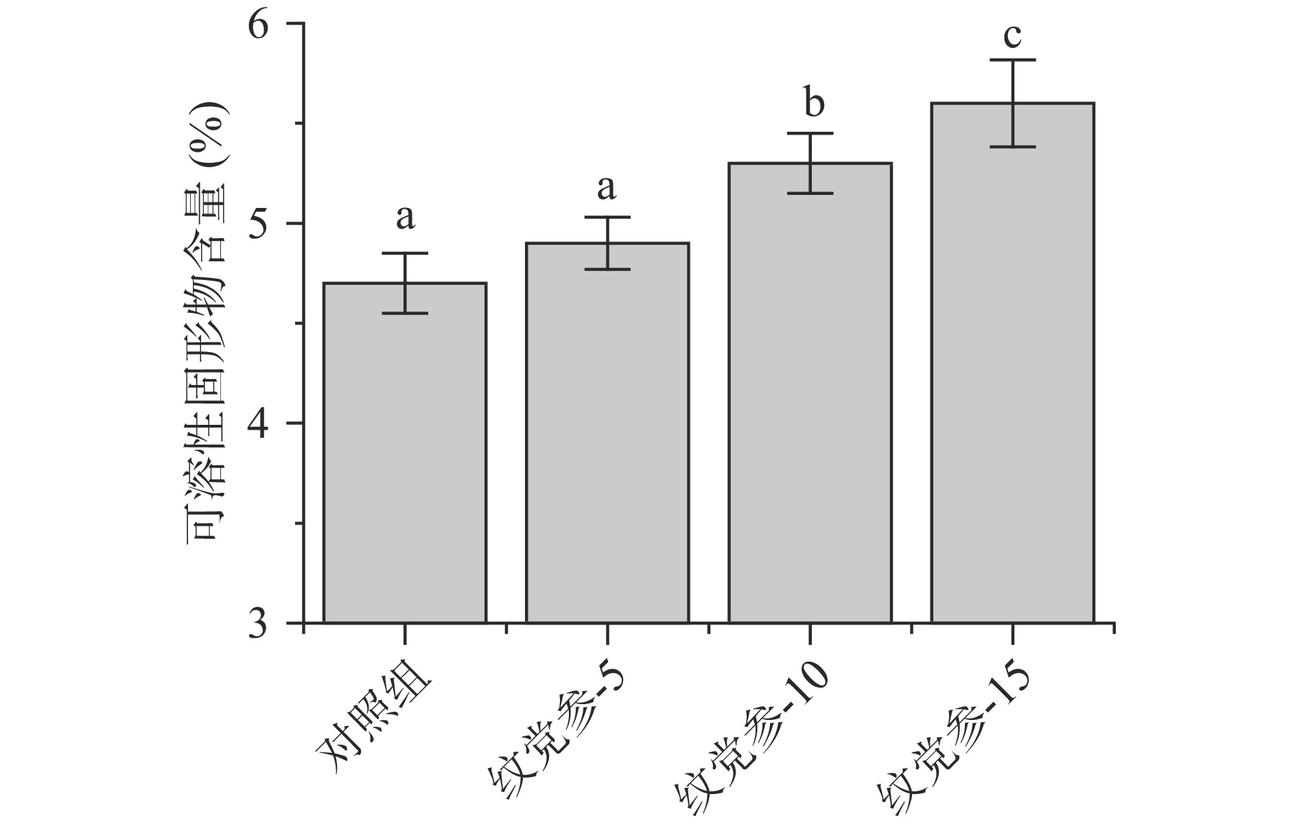
  • 摘要: 研究纹党参剂量对八宝茶品质的影响。在八宝茶中添加纹党参5、10和15 g/份,以未添加纹党参的八宝茶作为对照组,比较纹党参八宝茶的颜色、可溶性固形物含量、风味、滋味和感官评价得分等品质特征。结果显示纹党参八宝茶呈现红色偏黄的颜色。随着剂量提高,纹党参八宝茶的颜色变黄,可溶性固形物含量提高,其中,添加纹党参10和15 g八宝茶中的可溶性固形物含量显著性高于对照组(P<0.05)。纹党参八宝茶的甜味、苦味和咸味随纹党参剂量的增加而减弱,而酸味呈现增强趋势。其中,甜味、酸味、鲜味、苦味回味和鲜味回味是造成纹党参八宝茶滋味差异的主要原因。其中,纹党参10 g/份剂量组八宝茶的甜味和香气明显优于对照组和其它各组,表现出纹党参原有的味道,并且与八宝茶的茶香融合,感官得分比对照组提高了35%。因此,适当剂量的纹党参可以提高八宝茶的品质。

     

    Abstract: The effects of Codonopsis pilosula dosage on qualities of Babao tea was evaluated. The Codonopsis pilosula dosage of 5, 10 and 15 g were applied to the Babao tea, and the color, soluble solid content, flavor, taste, and sensory evaluation of the tea were compared with the tea without Codonopsis pilosula as the control. Codonopsis pilosula Babao tea was red with a little yellow. When the dosage of Codonopsis pilosula was increased, the color of the tea turned yellow, and the soluble solid content was increased. The soluble solid content of the tea with 10 and 15 g of Codonopsis pilosula was significant higher than that of the control (P<0.05). The sweetness, bitterness and saltiness of the tea decreased with the increase of the dosage, while the acidity increased. The sweetness, sourness, umami, bitter aftertaste, and fresh aftertaste were the key factors leading to the taste differences of the Babao tea. The sweetness and aroma of Babao tea with the dosage of 10 g was significantly better than those in the control and other dosages, showing the original taste of Codonopsis pilosula, and integrating with the tea aroma of Babao tea. The sensory score of the dosage of 10 g was 35% higher than that of the control. Therefore, a proper dosage of Codonopsis pilosula benefited qualities of Babao tea.

     

/

返回文章
返回