• 中国科技期刊卓越行动计划项目资助期刊
  • 中国精品科技期刊
  • EI
  • Scopus
  • CAB Abstracts
  • Global Health
  • 北大核心期刊
  • DOAJ
  • EBSCO
  • 中国核心学术期刊RCCSE A+
  • 中国科技核心期刊CSTPCD
  • JST China
  • FSTA
  • 中国农林核心期刊
  • 中国开放获取期刊数据库COAJ
  • CA
  • WJCI
  • 食品科学与工程领域高质量科技期刊分级目录第一方阵T1
中国精品科技期刊2020
田璇,刘阳,王兆升,等. 牡丹籽粕蛋白提取工艺优化及特性分析J. 食品工业科技,2023,44(11):187−195. doi: 10.13386/j.issn1002-0306.2022070244.
引用本文: 田璇,刘阳,王兆升,等. 牡丹籽粕蛋白提取工艺优化及特性分析J. 食品工业科技,2023,44(11):187−195. doi: 10.13386/j.issn1002-0306.2022070244.
TIAN Xuan, LIU Yang, WANG Zhaosheng, et al. Extraction Optimization and Analysis on Properties of Protein on Peony Seed MealJ. Science and Technology of Food Industry, 2023, 44(11): 187−195. (in Chinese with English abstract). doi: 10.13386/j.issn1002-0306.2022070244.
Citation: TIAN Xuan, LIU Yang, WANG Zhaosheng, et al. Extraction Optimization and Analysis on Properties of Protein on Peony Seed MealJ. Science and Technology of Food Industry, 2023, 44(11): 187−195. (in Chinese with English abstract). doi: 10.13386/j.issn1002-0306.2022070244.

牡丹籽粕蛋白提取工艺优化及特性分析

Extraction Optimization and Analysis on Properties of Protein on Peony Seed Meal

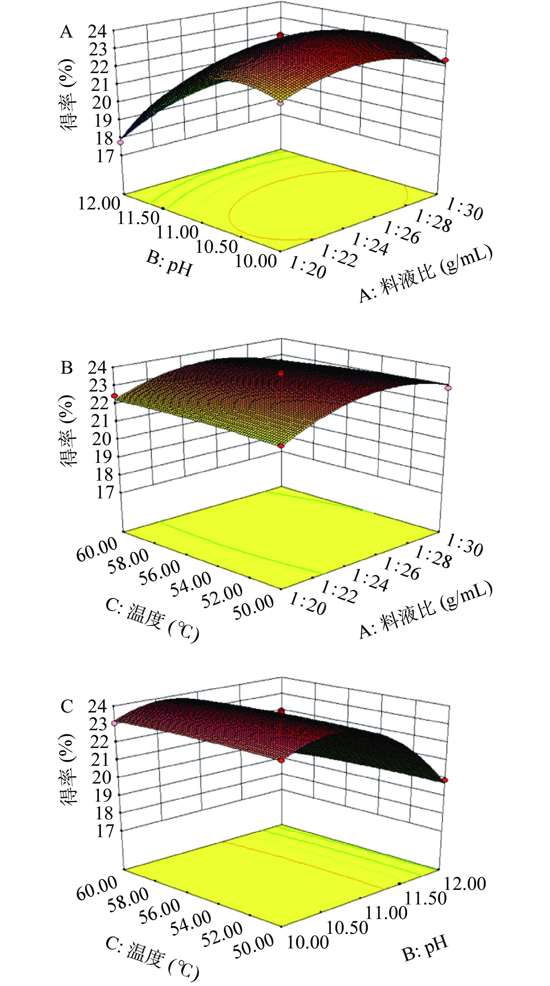
  • 摘要: 本研究通过碱溶酸沉法对牡丹籽粕中的蛋白进行提取。选取料液比、pH、时间和温度进行单因素研究,结合响应面法优化获得最佳提取工艺,并对蛋白的物化特性进行分析。确定最佳工艺条件:料液比1:25 g/mL,pH10.6,温度55 ℃,时间130 min时,蛋白得率为23.81%±0.04%。在此条件下获得的牡丹籽粕蛋白中含有18种氨基酸;蛋白的持水性和持油性分别为3.72和3.67 g/g;起泡性和泡沫稳定性在pH2~4时均明显降低,pH4时最小,pH6~10之间时,起泡性持续增加,泡沫稳定性明显上升后略有下降;乳化性和乳化稳定性随pH增大而增加,与粒径和Zeta电位所反映的结果相符。本研究为牡丹籽粕蛋白的工业化生产和综合利用提供了理论依据。

     

    Abstract: In this study, an alkali solution and acid precipitation method were used to extract protein from peony seed meal. Solid-liquid ratio, pH, time, and temperature were selected to carry out a single-factor study and combined with the response surface method to optimize the optimal extraction process. The optimum process conditions were determined: The protein yield reached 23.81%±0.04% when the ratio of solid to liquid was 1:25 g/mL, pH10.6, the temperature was 55 ℃, and time was 130 min. The peony seed meal protein obtained under these conditions contained 18 kinds of amino acids. The water and oil retention of peony seed meal protein was 3.72 g/g and 3.67 g/g, respectively. Foamability and foam stability decreased significantly at pH2~4, and the lowest was at pH4. Between pH6 and 10, foamability continued to increase, while foam stability increased significantly and then decreased slightly. With the increase in pH, the emulsification and emulsification stability increased. The results were consistent with the variation trend of particle size and Zeta potential. This study provided a theoretical basis for the industrial production and comprehensive utilization of peony seed meal protein.

     

/

返回文章
返回