• 中国科技期刊卓越行动计划项目资助期刊
  • 中国精品科技期刊
  • EI
  • Scopus
  • CAB Abstracts
  • Global Health
  • 北大核心期刊
  • DOAJ
  • EBSCO
  • 中国核心学术期刊RCCSE A+
  • 中国科技核心期刊CSTPCD
  • JST China
  • FSTA
  • 中国农林核心期刊
  • 中国开放获取期刊数据库COAJ
  • CA
  • WJCI
  • 食品科学与工程领域高质量科技期刊分级目录第一方阵T1
中国精品科技期刊2020
杨明哲,赵子莹,汤华成,等. 植物源咸味肽制备与应用研究进展J. 食品工业科技,2023,44(20):467−474. doi: 10.13386/j.issn1002-0306.2022120157.
引用本文: 杨明哲,赵子莹,汤华成,等. 植物源咸味肽制备与应用研究进展J. 食品工业科技,2023,44(20):467−474. doi: 10.13386/j.issn1002-0306.2022120157.
YANG Mingzhe, ZHAO Ziying, TANG Huacheng, et al. A Review: Technologies for the Preparation of Plant-derived Salty Peptides and Their ApplicationJ. Science and Technology of Food Industry, 2023, 44(20): 467−474. (in Chinese with English abstract). doi: 10.13386/j.issn1002-0306.2022120157.
Citation: YANG Mingzhe, ZHAO Ziying, TANG Huacheng, et al. A Review: Technologies for the Preparation of Plant-derived Salty Peptides and Their ApplicationJ. Science and Technology of Food Industry, 2023, 44(20): 467−474. (in Chinese with English abstract). doi: 10.13386/j.issn1002-0306.2022120157.

植物源咸味肽制备与应用研究进展

A Review: Technologies for the Preparation of Plant-derived Salty Peptides and Their Application

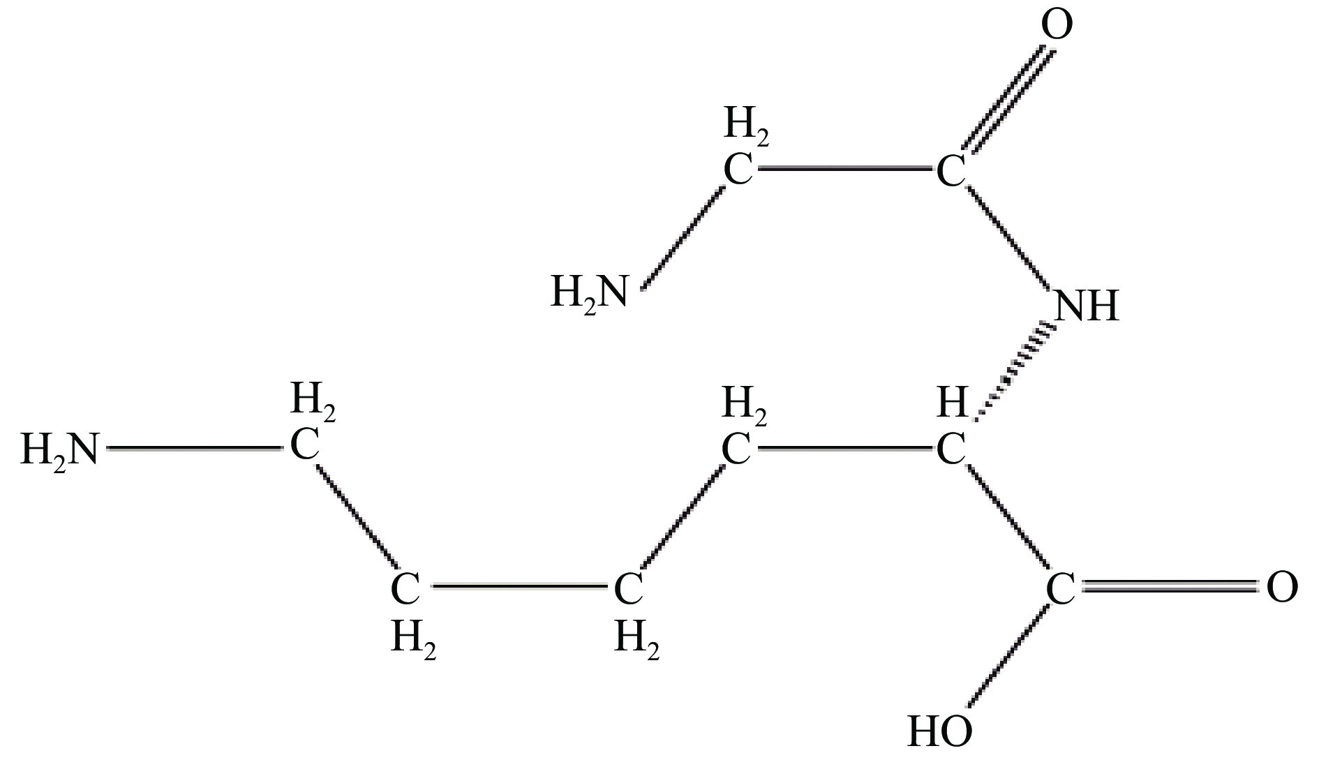
  • 摘要: 咸味肽作为一种新型的食盐替代物,在食品减盐方面有着至关重要的作用,尤其是需要低钠食品的特殊人群,具有广泛的应用前景。因此,咸味肽的制备和开发成为当前的研究重点。本文以植物源咸味肽为对象,分别对咸味肽的研究必要性及结构特点、ENaC等咸味受体与咸味肽的作用机制、咸味肽结构与呈味特性的构效关系,以及咸味肽分离纯化鉴定技术及在咸味香精、增咸烹饪盐和咸味增强剂等应用等方面进行综述。为促进植物源咸味肽的深入机理研究及产品开发提供理论依据。

     

    Abstract: Salty peptides play vital roles in salt reduction of food as novel salt substitutes, especially for special people who need low-sodium food, and have a wide application prospect. Therefore, the preparation and development of salty peptides have become the focus of current research. In present review, plant-derived salty peptides are taken as the target, research necessity and structural characteristics, the mechanism of action of salty taste receptors such as ENaC, the structure-activity relationship between the structure and taste characteristics of salty peptides, the preparation technology, the separation, purification and identification technology, the application of plant-derived salty peptides are summarized, such as savory flavors, saltiness-enhanced cooking salt and savory enhancers. The review would lay a theoretical basis for promoting the mechanism research in depth and product development of plant-derived salty peptides.

     

/

返回文章
返回