• 中国科技期刊卓越行动计划项目资助期刊
  • 中国精品科技期刊
  • EI
  • Scopus
  • CAB Abstracts
  • Global Health
  • 北大核心期刊
  • DOAJ
  • EBSCO
  • 中国核心学术期刊RCCSE A+
  • 中国科技核心期刊CSTPCD
  • JST China
  • FSTA
  • 中国农林核心期刊
  • 中国开放获取期刊数据库COAJ
  • CA
  • WJCI
  • 食品科学与工程领域高质量科技期刊分级目录第一方阵T1
中国精品科技期刊2020
李雄波,范智义,王泽亮,等. 不同品种蚕豆原料对郫县豆瓣品质的影响研究J. 食品工业科技,2024,45(9):72−82. doi: 10.13386/j.issn1002-0306.2023060090.
引用本文: 李雄波,范智义,王泽亮,等. 不同品种蚕豆原料对郫县豆瓣品质的影响研究J. 食品工业科技,2024,45(9):72−82. doi: 10.13386/j.issn1002-0306.2023060090.
LI Xiongbo, FAN Zhiyi, WANG Zeliang, et al. Effect of Different Cultivars of Broad Bean on the Quality of Pixian Broad Bean Chili PasteJ. Science and Technology of Food Industry, 2024, 45(9): 72−82. (in Chinese with English abstract). doi: 10.13386/j.issn1002-0306.2023060090.
Citation: LI Xiongbo, FAN Zhiyi, WANG Zeliang, et al. Effect of Different Cultivars of Broad Bean on the Quality of Pixian Broad Bean Chili PasteJ. Science and Technology of Food Industry, 2024, 45(9): 72−82. (in Chinese with English abstract). doi: 10.13386/j.issn1002-0306.2023060090.

不同品种蚕豆原料对郫县豆瓣品质的影响研究

Effect of Different Cultivars of Broad Bean on the Quality of Pixian Broad Bean Chili Paste

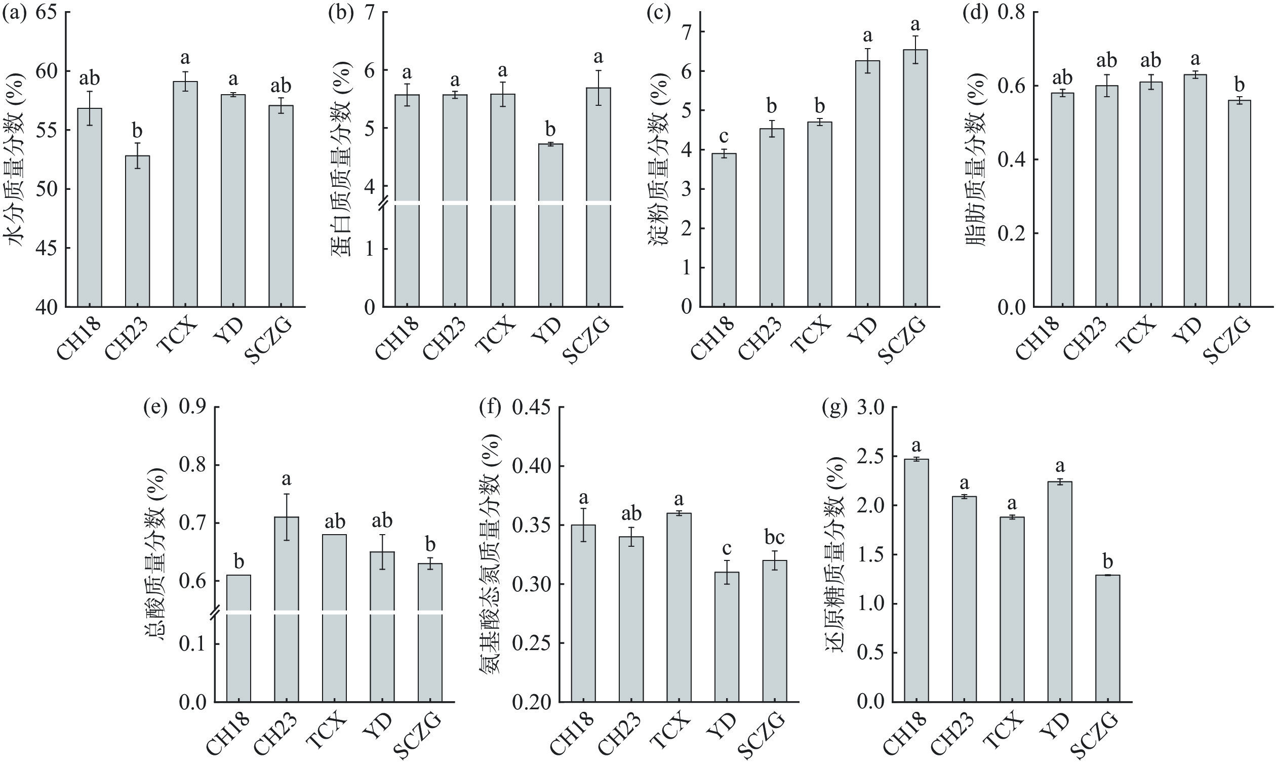
  • 摘要: 为探究蚕豆原料对郫县豆瓣品质的影响,本文考察了5个不同品种蚕豆制备郫县豆瓣的理化指标、游离氨基酸和挥发性成分等品质差异。结果表明,不同品种蚕豆发酵郫县豆瓣的绝大部分品质指标存在显著差异(P<0.05)。‘成胡18’(CH18)、‘成胡23’(CH23)、‘通蚕鲜6号’(TCX)品种蚕豆发酵的郫县豆瓣具有更高含量的蛋白质、氨基酸态氮、还原糖和游离氨基酸,尤其是其氨基酸态氮和总游离氨基酸含量显著高于其他样品(P<0.05)。所有样品中甜味和苦味氨基酸为主要呈味氨基酸,但味道强度值(taste active value,TAV)分析表明鲜味氨基酸谷氨酸(Glu)对郫县豆瓣呈味贡献突出,尤其是CH18、CH23和TCX郫县豆瓣。采用顶空固相微萃取(headspace solid phase microextraction,HS-SPME)与气相色谱-质谱(gas chromatography-mass spectrometry,GC-MS)联用技术从5种郫县豆瓣中共鉴定出48种挥发性成分,以酯类和醇类化合物为主,相对含量分别为28.19%~39.47%、23.16%~28.82%;且不同品种间差异较大,其中CH18、CH23郫县豆瓣中酯类化合物相对含量最高,醇类相对含量最低。基于ROAV>1共筛选出11种关键风味物质,而大部分关键风味物质在CH23、云豆2662(YD)郫县豆瓣中相对含量较高。整体而言,CH18、CH23和TCX郫县豆瓣的品质显著优于未知品种(SCZG)、YD郫县豆瓣,但TCX郫县豆瓣体态存在缺陷,因此CH18和CH23品种蚕豆更适合郫县豆瓣加工。本研究表明蚕豆品种是导致郫县豆瓣理化与感官特征差异的重要因素,企业生产过程中要加强原料品种的筛选。

     

    Abstract: To elucidate the influence of various broad bean raw materials on the quality of Pixian broad bean chili paste (PBCP), an investigation was undertaken utilizing five distinct cultivars of broad beans to prepare PBCP and physicochemical indices, free amino acids and volatile profiles were analyzed. The results revealed notable disparities (P<0.05) on majority of quality indices among different PBCP samples. PBCP fermented with 'Chenghu 18' (CH18), 'Chenghu 23' (CH23), and 'Tongcanxian 6' (TCX) broad beans manifested elevated contents of protein, amino acid nitrogen, reducing sugar, and free amino acid. Amino acid nitrogen and total free amino acid contents were significantly greater (P<0.05) in these samples compared with others. Amino acids with sweet and bitter tastes were the main flavor amino acids detected. Nevertheless, taste active value (TAV) analysis illuminated the substantive contribution of the umami amino acid glutamic acid (Glu), particularly in the PBCP fermented by CH18, CH23, and TCX. By employing headspace solid phase microextraction (HS-SPME) in conjunction with gas chromatography-mass spectrometry (GC-MS), a total of 48 volatile components were identified among five PBCPs, primarily comprising esters and alcohols, with relative contents ranging from 28.19%~39.47% and 23.16%~28.82% respectively. Distinctive compositional variations were observed among different samples, with the highest contents of ester and the lowest contents of alcohol found in samples fermented by CH18 and CH23. Based on ROAV>1, a total of 11 key flavor substances were screened, with most of these substances being relatively abundant in PBCPs fermented by CH23 and YD. Overall, qualities of PBCPs fermented by CH18, CH23, and TCX were better than that fermented by SCZG and YD. However, defect was observed in the physical appearance of PBCP fermented by TCX. Consequently, CH18 and CH23 were more appropriate for the processing of PBCP. This research underscores the significance of broad bean cultivar as an instrumental factor driving the variances in physicochemical and sensory attributes of PBCP, and it thereby advocates the selection of raw material to improve the quality of final products.

     

/

返回文章
返回