• 中国科技期刊卓越行动计划项目资助期刊
  • 中国精品科技期刊
  • EI
  • Scopus
  • CAB Abstracts
  • Global Health
  • 北大核心期刊
  • DOAJ
  • EBSCO
  • 中国核心学术期刊RCCSE A+
  • 中国科技核心期刊CSTPCD
  • JST China
  • FSTA
  • 中国农林核心期刊
  • 中国开放获取期刊数据库COAJ
  • CA
  • WJCI
  • 食品科学与工程领域高质量科技期刊分级目录第一方阵T1
中国精品科技期刊2020
黄素艳,曹荣,刘楠,等. 提取方式对微拟球藻蛋白理化性质和功能特性的影响J. 食品工业科技,2025,46(1):87−96. doi: 10.13386/j.issn1002-0306.2023120330.
引用本文: 黄素艳,曹荣,刘楠,等. 提取方式对微拟球藻蛋白理化性质和功能特性的影响J. 食品工业科技,2025,46(1):87−96. doi: 10.13386/j.issn1002-0306.2023120330.
HUANG Suyan, CAO Rong, LIU Nan, et al. Effect of Extraction Methods on Physicochemical and Functional Properties of Nannochloropsis ProteinsJ. Science and Technology of Food Industry, 2025, 46(1): 87−96. (in Chinese with English abstract). doi: 10.13386/j.issn1002-0306.2023120330.
Citation: HUANG Suyan, CAO Rong, LIU Nan, et al. Effect of Extraction Methods on Physicochemical and Functional Properties of Nannochloropsis ProteinsJ. Science and Technology of Food Industry, 2025, 46(1): 87−96. (in Chinese with English abstract). doi: 10.13386/j.issn1002-0306.2023120330.

提取方式对微拟球藻蛋白理化性质和功能特性的影响

Effect of Extraction Methods on Physicochemical and Functional Properties of Nannochloropsis Proteins

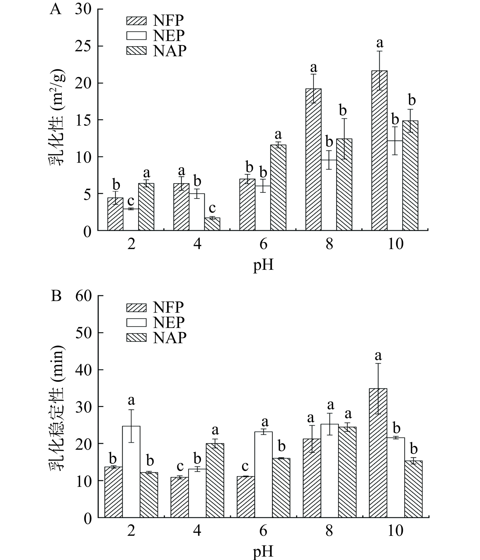
  • 摘要: 以微拟球藻粉为原料,分别采用冻融盐析法、酶提辅助法和碱提酸沉法制备冻融蛋白(Nannochloropsis freeze-thawed extraction protein,NFP)、酶提蛋白(Nannochloropsis enzyme-assisted extraction protein,NEP)和碱提蛋白(Nannochloropsis alkali extraction protein,NAP),并对其理化性质和功能特性进行对比分析。结果表明,碱提酸沉法的提取率为18.70%±0.50%,显著高于其他两种提取方式(P<0.05)。NFP、NEP与NAP中均含有多种人体必需氨基酸,分别占总氨基酸含量的38.75%、38.16%和37.88%;紫外吸收光谱显示三种提取蛋白在200~220 nm处有较强的吸光值;傅里叶变换红外光谱表明三种蛋白均具有典型的蛋白吸收峰,但二级结构发生变化,碱提处理使NAP中β-转角相对含量降低至19.62%±1.48%,β-折叠相对含量增加至32.90%±1.55%;与NEP和NFP相比,NAP的游离巯基含量和Zeta电位绝对值显著上升,粒径显著下降(P<0.05);扫描电镜显示不同提取方式下蛋白的显微结构有差异。功能特性分析显示三种蛋白的溶解性、起泡性及起泡稳定性随pH的变化趋势相似;相比NEP和NAP,NFP具有更好的功能特性。该研究结果为微藻蛋白资源在食品领域的开发利用提供了一定的理论依据。

     

    Abstract: Nannochloropsis freeze-thawed extraction protein (NFP), Nannochloropsis enzyme-assisted extraction protein (NEP) and Nannochloropsis alkali extraction protein (NAP) were extracted from the Nannochloropsis powder by using freeze-thawed salt precipitation method, enzyme-assisted extraction method and alkali dissolution acid precipitation method, respectively. The physicochemical properties and functional properties were compared and analyzed. The results showed that the extraction rate of alkali-solution and acid-precipitation was 18.70%±0.50%, which was significantly higher than that of the other two extraction methods (P<0.05). NFP, NEP and NAP all contained a variety of essential amino acids, accounting for 38.75%, 38.16% and 37.88% of the total amino acid content, respectively. The UV absorption spectrum showed that the three extracted proteins exhibited strong absorbance values at 200~220 nm. Fourier transform infrared spectroscopy (FTIR) showed that all three proteins displayed typical protein absorption peaks, however, the secondary structure changed. After alkaline extraction treatment, the proportions of β-turn in NAP decreased to 19.62%±1.48%, respectively, whereas the β-sheet content increased to 32.90%±1.55%. Compared with NEP and NFP, the free sulfhydryl content and Zeta potential absolute value of NAP were significantly increased, while the particle size was obviously reduced (P<0.05). The results of scanning electron microscopy (SEM) showed that the microstructure of the three proteins was different. Functional properties analysis demonstrated that the solubility, foaming ability and foaming stability of the three proteins displayed similar trends with that of pH. Compared to NEP and NAP, NFP had better functional capacities. The results provide a certain theoretical basis for the development and utilization of Nannochloropsis protein resources in the food industry.

     

/

返回文章
返回