• 中国科技期刊卓越行动计划项目资助期刊
  • 中国精品科技期刊
  • EI
  • Scopus
  • CAB Abstracts
  • Global Health
  • 北大核心期刊
  • DOAJ
  • EBSCO
  • 中国核心学术期刊RCCSE A+
  • 中国科技核心期刊CSTPCD
  • JST China
  • FSTA
  • 中国农林核心期刊
  • 中国开放获取期刊数据库COAJ
  • CA
  • WJCI
  • 食品科学与工程领域高质量科技期刊分级目录第一方阵T1
中国精品科技期刊2020
杨舒,黄徐英,屠寒,等. 桑葚花色苷对小鼠的抗疲劳作用J. 食品工业科技,2023,44(16):377−385. doi: 10.13386/j.issn1002-0306.2022090071.
引用本文: 杨舒,黄徐英,屠寒,等. 桑葚花色苷对小鼠的抗疲劳作用J. 食品工业科技,2023,44(16):377−385. doi: 10.13386/j.issn1002-0306.2022090071.
YANG Shu, HUANG Xuying, TU Han, et al. Anti-fatigue Effects of Mulberry Anthocyanins in MiceJ. Science and Technology of Food Industry, 2023, 44(16): 377−385. (in Chinese with English abstract). doi: 10.13386/j.issn1002-0306.2022090071.
Citation: YANG Shu, HUANG Xuying, TU Han, et al. Anti-fatigue Effects of Mulberry Anthocyanins in MiceJ. Science and Technology of Food Industry, 2023, 44(16): 377−385. (in Chinese with English abstract). doi: 10.13386/j.issn1002-0306.2022090071.

桑葚花色苷对小鼠的抗疲劳作用

Anti-fatigue Effects of Mulberry Anthocyanins in Mice

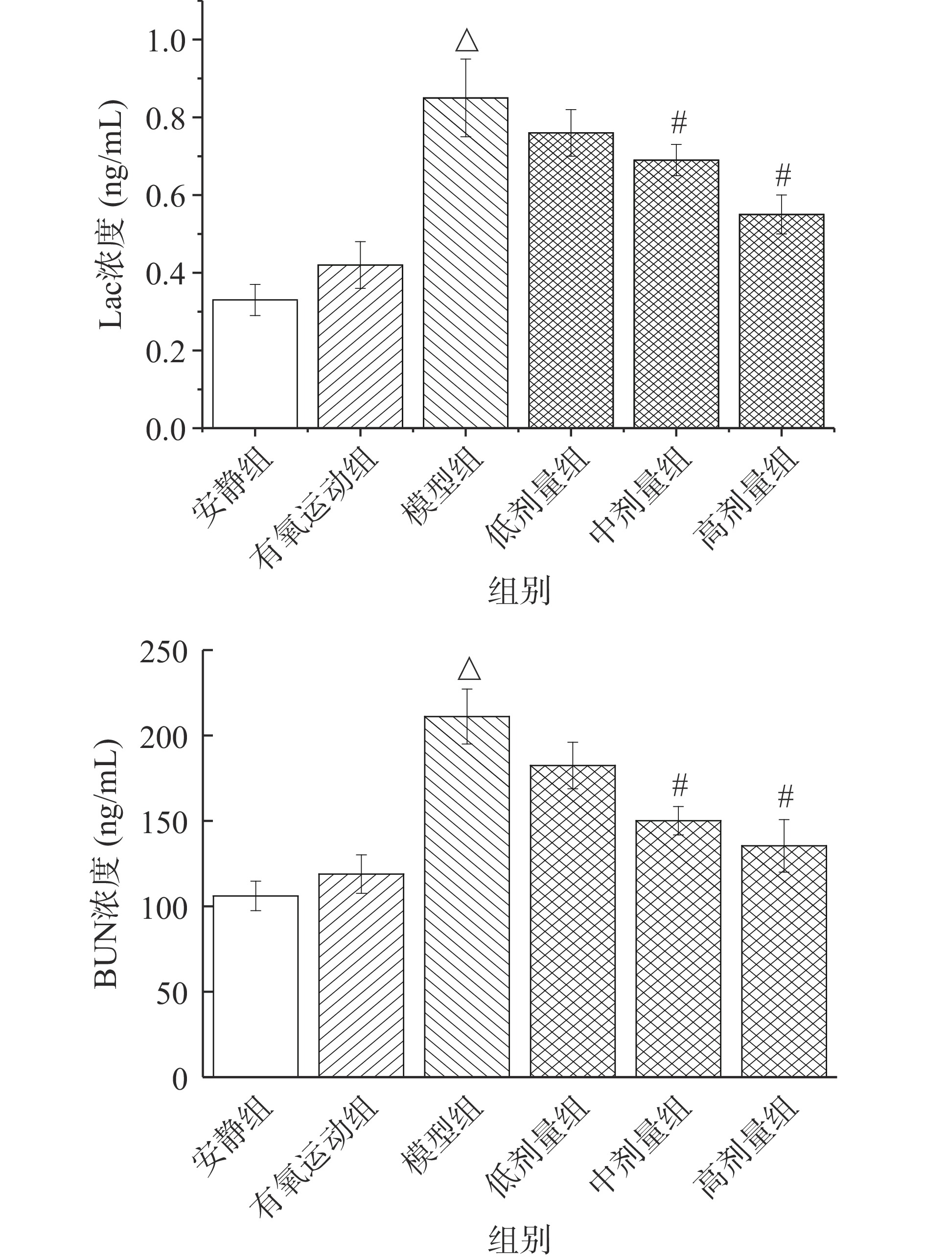
  • 摘要: 目的:研究桑葚花色苷对小鼠的抗疲劳作用,并探讨其抗疲劳机制。方法:经制备、分析后,评价桑葚花色苷样品抗氧化活性;将小鼠随机分为安静组、有氧运动组、模型组、低、中、高剂量组(桑葚花色苷剂量分别为100、200、400 mg/kg),进行负重游泳。连续灌胃4周后,检测小鼠的血乳酸(Lac)、血尿素氮(BUN)、丙二醛(MDA)、超氧化物歧化酶(SOD)等疲劳相关生化指标和氧化应激指标,评价桑葚花色苷的抗疲劳作用;并通过测定核因子E2相关因子(Nrf2)和血红素加氧酶1(HO-1)mRNA相对表达水平,初步探讨桑葚花色苷抗疲劳机制。结果:经过纯化、富集后,桑葚花色苷中活性成分含量升高,并显示出与维生素C相当的抗氧化能力。与模型组比较,低、中、高剂量桑葚花色苷可显著延长运动时间(P<0.05),提升运动耐力;中、高剂量桑葚花色苷显著降低小鼠血液中Lac和BUN含量、CK和LDH活性(P<0.05),提高了骨骼肌中SOD和GSH-Px活性,降低了ROS、MDA、8-OHdG含量(P<0.05),同时,Nrf2/HO-1 mRNA的表达显著(P<0.05)增加。结论:桑葚花色苷可通过调控Nrf2/HO-1信号途径,提高机体的抗氧化能力,以发挥抗疲劳作用。

     

    Abstract: Objective: To study the anti-fatigue effects of mulberry anthocyanins (AM) and discuss the mechanism in mice. Methods: After preparation and analysis, the the antioxidant activity AM was evaluated. The mice were randomly divided into the quiet group, the aerobic exercise group, the model group, the low, medium and high does groups (the AM dosage were 100, 200 and 400 mg/kg/d, respectively), and exhaustive swimming test were performed. After mouse were orally administered for 4 weeks, the fatigue-related biochemical indicators were measured to evaluate the anti-fatigue effect of AM, such as the levels of blood lactic acid (Lac), blood urea nitrogen (BUN) and malondialdehyde (MDA) the activities of superoxide dismutase (SOD) and glutathione peroxidase (GSH-Px). Meanwhile, the anti-fatigue mechanism was explained by the relative expression levels of Nrf2 and HO-1 mRNA. Result: After enrichment and purification, the contents of active components in AM were increased, and showed the antioxidant capacity that equivalented to vitamin C. Compared with the model group, the low, medium and high does groups were significantly prolonged exhaustive swimming time (P<0.05), as well as the exercise capacity was increased. The medium and high does of AM significantly decreased the levels of Lac and BUN (P<0.05), the activities of LDH and CK (P<0.05) in rat blood, improved the activity of SOD and GSH-Px, as well as low-regulate the level of MDA, 8-OHdG and ROS (P<0.05) in muscle. Furthermore, AM significantly increased the expression levels of Nrf2/HO-1 mRNA in muscle (P<0.05). Conclusion: AM could improve the ability of the antioxidant capacity to exert anti fatigue effect through regulating Nrf2/HO-1 signaling pathway.

     

/

返回文章
返回