• 中国科技期刊卓越行动计划项目资助期刊
  • 中国精品科技期刊
  • EI
  • Scopus
  • CAB Abstracts
  • Global Health
  • 北大核心期刊
  • DOAJ
  • EBSCO
  • 中国核心学术期刊RCCSE A+
  • 中国科技核心期刊CSTPCD
  • JST China
  • FSTA
  • 中国农林核心期刊
  • 中国开放获取期刊数据库COAJ
  • CA
  • WJCI
  • 食品科学与工程领域高质量科技期刊分级目录第一方阵T1
中国精品科技期刊2020
陈晓乐,韩笑,宫建泉,等. 表面活性剂改良牛蒡多糖粒径工艺优化及其结构表征J. 食品工业科技,2024,45(21):140−147. doi: 10.13386/j.issn1002-0306.2023110030.
引用本文: 陈晓乐,韩笑,宫建泉,等. 表面活性剂改良牛蒡多糖粒径工艺优化及其结构表征J. 食品工业科技,2024,45(21):140−147. doi: 10.13386/j.issn1002-0306.2023110030.
CHEN Xiaole, HAN Xiao, GONG Jianquan, et al. Particle Size Optimization and Structural Characterization of Arctium lappa L. Polysaccharides Improved by SurfactantJ. Science and Technology of Food Industry, 2024, 45(21): 140−147. (in Chinese with English abstract). doi: 10.13386/j.issn1002-0306.2023110030.
Citation: CHEN Xiaole, HAN Xiao, GONG Jianquan, et al. Particle Size Optimization and Structural Characterization of Arctium lappa L. Polysaccharides Improved by SurfactantJ. Science and Technology of Food Industry, 2024, 45(21): 140−147. (in Chinese with English abstract). doi: 10.13386/j.issn1002-0306.2023110030.

表面活性剂改良牛蒡多糖粒径工艺优化及其结构表征

Particle Size Optimization and Structural Characterization of Arctium lappa L. Polysaccharides Improved by Surfactant

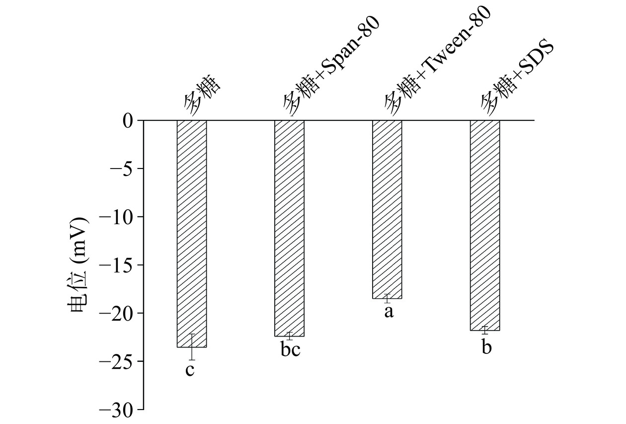
  • 摘要: 使用表面活性剂对牛蒡多糖粒径进行改良,通过单因素和响应面法优化得到最优的表面活性剂改良工艺条件,通过紫外光谱、红外、粒径和扫描电镜等对改良前后的牛蒡多糖进行结构表征。结果表明:牛蒡多糖粒径的最优改良工艺条件为:表面活性剂种类为吐温-80(Tween-80),浓度为0.5%,涡旋时间16 s,pH5.67,此条件下得到牛蒡多糖粒径为6.19±0.14 nm。傅里叶红外光谱分析显示表面活性剂改良并未改变牛蒡多糖的结构,紫外光谱显示改良后多糖在280 nm处出现了一个细微的波动,推测可能是表面活性剂在该波段的紫外吸收。粒径分析对比表明改良后的牛蒡多糖粒径较改良前显著减小。扫描电镜结果显示改良后牛蒡多糖呈现出更为有序的球状结构,大小较均一。本研究可为制备粒径可控的多糖体系提供理论依据。

     

    Abstract: Using surfactants to improve the particle size of Arctium lappa L. polysaccharides, and the optimal process conditions were obtained by single factor and response surface method. The structure of Arctium lappa L. polysaccharides before and after improvement was characterized by UV, Fourier transform infrared spectroscopy (FT-IR), particle size, and scanning electron microscopy. The results showed that the optimal process conditions for improving the particle size of Arctium lappa L. polysaccharides were as follows: The surfactant was Tween-80, the concentration was 0.5%, the vortex time was 16 s, and the pH was 5.67, under these conditions, the particle size of Arctium lappa L. polysaccharides was 6.19±0.14 nm. FT-IR analysis showed that the modification with surfactants did not change the structure of Arctium lappa L. polysaccharides. The UV spectrum showed a slight fluctuation at 280 nm, which might be attributed to the UV absorption of surfactants in this wave band. The particle size analysis showed that the grain size of improved Arctium lappa L. polysaccharides decreased significantly compared with unimprovement. The scanning electron microscopy results showed that the improved Arctium lappa L. polysaccharides exhibited a more ordered spherical structure and more uniform sizes. This study can provide a theoretical basis for the preparation of a polysaccharide system with controlled particle size.

     

/

返回文章
返回