Abstract:
In this experiment, goat milk casein was used as raw material. Goat milk casein was treated with different ultrasonic intensities to explore the effects of ultrasonic treatment on the pH, conductivity, Zeta potential, turbidity and other physical and chemical indexes, as well as the functional characteristics of emulsification and foaming. The results showed that compared with untreated group, after ultrasonic treatment, the pH decreased and the conductivity had no significant change (
P>0.05). The absolute value of Zeta potential reached the maximum value of 27.85±1.55 mV when treated at 400 W for 2 min. Turbidity was significantly decreased compared with untreated group (
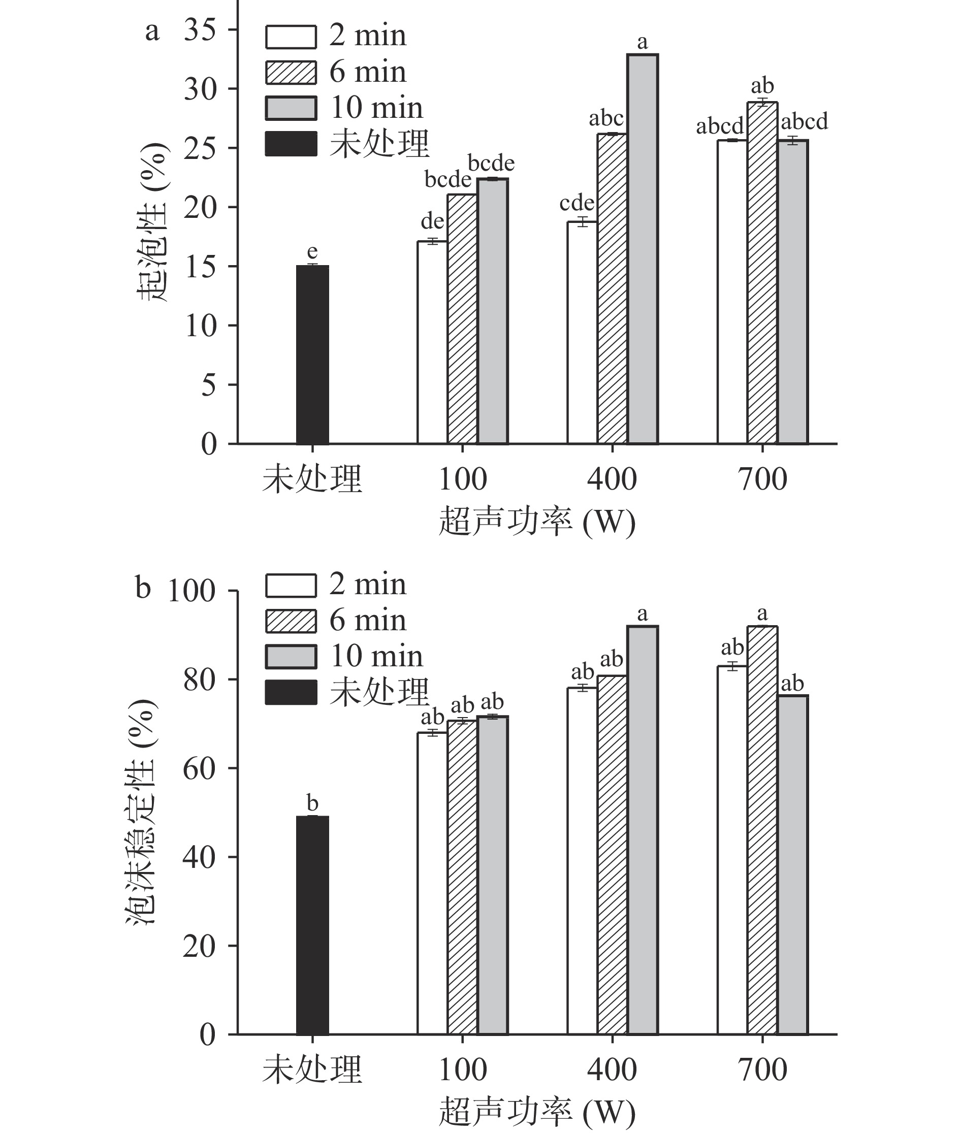
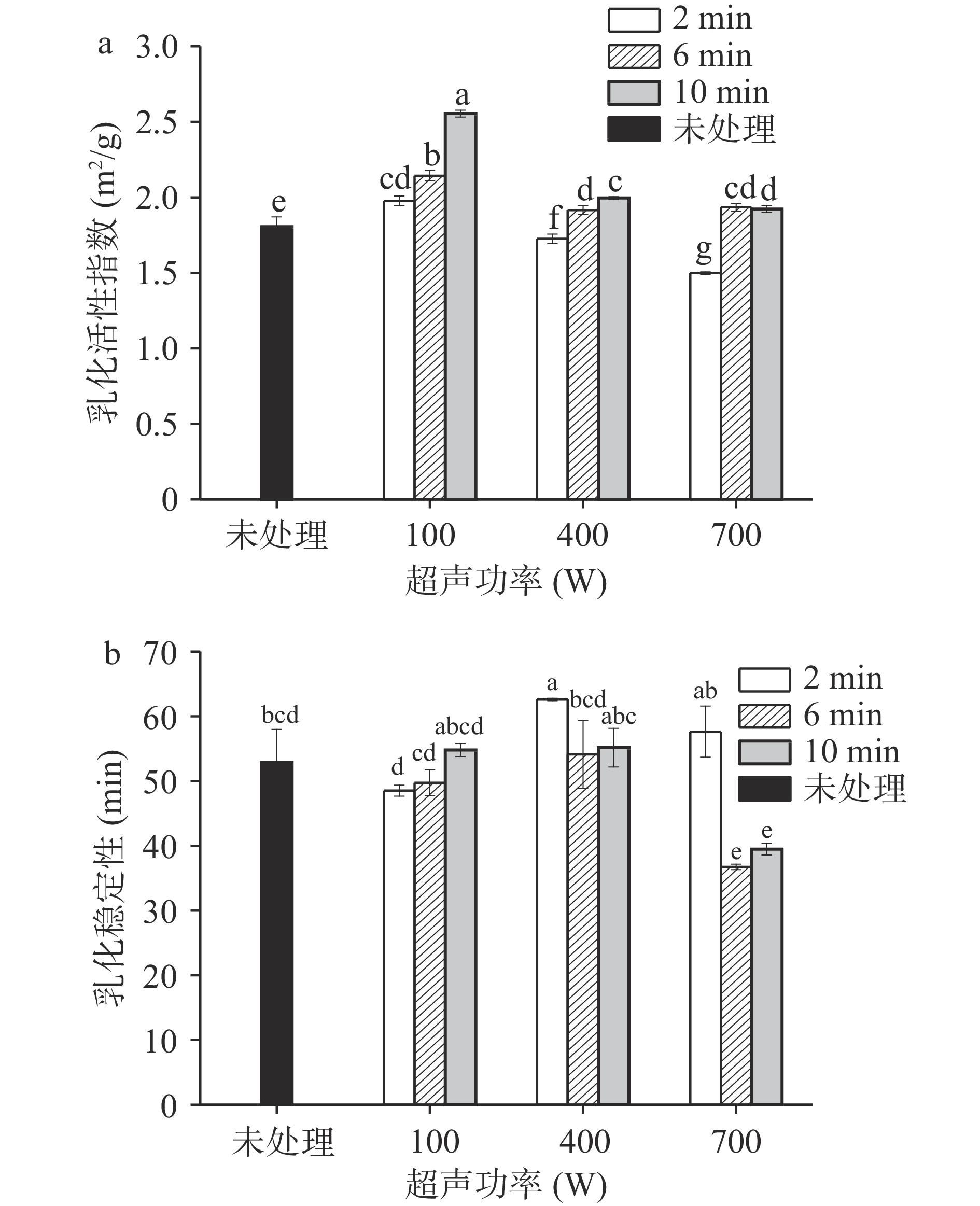
P<0.05). Ultrasonic treatment reduced the particle size of casein which reached its lowest value at 700 W treatment for 6 min, from 383.20±13.07 nm to 176.17±4.28 nm. Scanning electron microscopy results showed that ultrasound changed the original apparent morphology of casein, resulting in the formation of irregular fragments. After ultrasonic treatment, the emulsification at 100 W for 10 min was increased by 41.44%, and the foaming capacity and foaming stability of goat milk casein at 400 W for 10 min were significantly increased (
P<0.05), reaching the maximum value of 32.88%±0.07% and 91.93%±0.19%, respectively. In conclusion, the cavitation effect and mechanical action produced by ultrasonic treatment can provide better physicochemical and functional properties for goat milk casein.